Презентация, доклад к уроку по алгебре по теме: Иррациональные уравнения

Содержание

Иррациональное в переводе с греческого «уму непостижимое, неизмеримое, немыслимое»Открытие иррациональностиопровергло теорию Пифагора,что « всё есть число»

Слайд 1 Иррациональные уравнения

Иррациональные уравнения

Слайд 2Иррациональное в переводе с греческого «уму непостижимое, неизмеримое, немыслимое»



Открытие иррациональности
опровергло
теорию

Пифагора,
что « всё есть число»
Иррациональное в переводе с греческого «уму непостижимое, неизмеримое, немыслимое»Открытие иррациональностиопровергло теорию Пифагора,что « всё есть число»

Слайд 3Найдите О.О.Ф.
1.
2.
3.
4.
5.

Найдите О.О.Ф.1.2.3.4.5.

Слайд 4Какие из уравнений являются иррациональными?
1.
2.
3.
4.
5.

Какие из уравнений являются иррациональными?1.2.3.4.5.

Слайд 5Решите устно уравнения.
1.
2.
3.
4.
5.

Решите устно уравнения.1.2.3.4.5.

Слайд 6А теперь необходимо решить следующие уравнения:
1.
2.
3.
Чтобы решить эти уравнения,
необходимо

запомнить следующий алгоритм.
А теперь необходимо решить следующие уравнения:1. 2.3.Чтобы решить эти уравнения, необходимо запомнить следующий алгоритм.

Слайд 7Алгоритм решения иррациональных уравнений.
1. Решение иррациональных уравнений сводится к переходу
от

иррационального к рациональному уравнению путём
возведения в степень обеих частей уравнения или замены
переменной.

2. При возведении обеих частей уравнения в чётную степень
возможно появление посторонних корней. Поэтому необходимо
проверить все найденные корни подстановкой в исходное уравнение.

3. Иногда удобнее решать иррациональное уравнение,
определив область допустимых значений неизвестного
и используя равносильные переходы.
Алгоритм решения иррациональных уравнений.1. Решение иррациональных уравнений сводится к переходу от иррационального к рациональному уравнению путём возведения

Слайд 8на «5»
на «4»
на «3»

Самостоятельная работа
обучающего характера
на «5»на «4»на «3»

Слайд 9на «5»

проверка
верно
Ответ: 17
проверка
верно
неверно
Ответ: -4; 4.

Проверка
на «5»проверкаверноОтвет: 17 проверка  верноневерноОтвет: -4; 4.

Слайд 10на «4»
проверка
верно

не имеет смысла

Ответ: -2.

не подходит
Ответ: 2.

на «4»проверкаверноне имеет смыслаОтвет: -2.не подходитОтвет: 2.

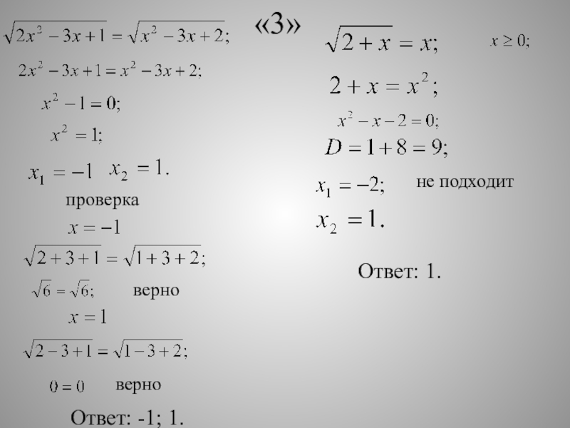
Слайд 11«3»
проверка
верно
верно
Ответ: -1; 1.
не подходит

Ответ: 1.

«3»проверкаверноверноОтвет: -1; 1.не подходитОтвет: 1.

Слайд 12Рефлексия
1. Я считаю, что на этом уроке:
а) разобрался

в теории; б) научился решать данные уравнения; в) повторил ранее изученный материал;

2. Чего вам не хватило на уроке при
решении уравнений:
а) знаний; б) времени; в) желания;

3. Кто оказывал вам помощь в преодолении трудностей на уроке:
а) одноклассники; б) учитель; в) никто.
Рефлексия1.    Я считаю, что на этом уроке:а) разобрался в теории; б) научился решать данные

Слайд 13Домашнее задание
На «3» и «4» №417(а,б) №418(а,б) №419(а)
На «5»

№417(в,г) №418(в,г) №419(в,г)
Домашнее заданиеНа «3» и «4» №417(а,б) №418(а,б) №419(а)На «5»   №417(в,г) №418(в,г) №419(в,г)

Что такое shareslide.ru?

Это сайт презентаций, где можно хранить и обмениваться своими презентациями, докладами, проектами, шаблонами в формате PowerPoint с другими пользователями. Мы помогаем школьникам, студентам, учителям, преподавателям хранить и обмениваться учебными материалами.


Для правообладателей

Яндекс.Метрика

Обратная связь

Email: Нажмите что бы посмотреть