Презентация, доклад к уроку математики на тему Решение систем различными методами (9 класс)

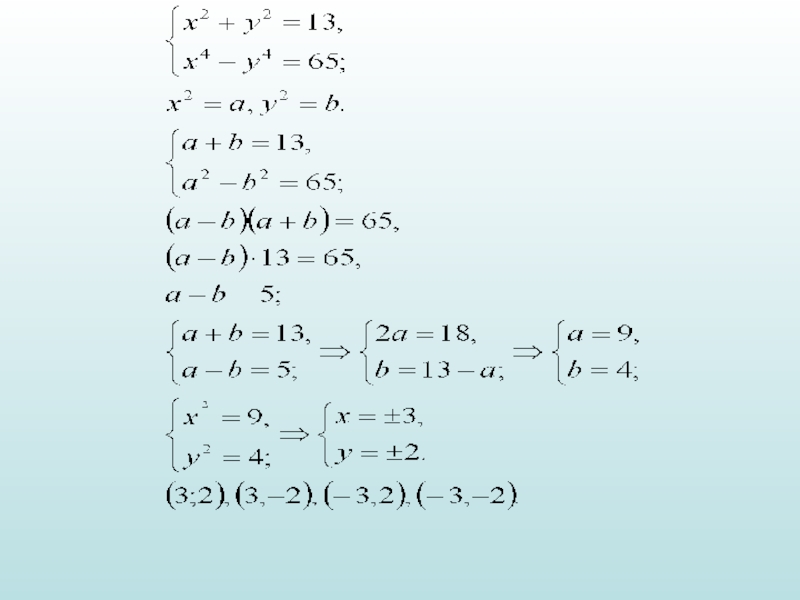
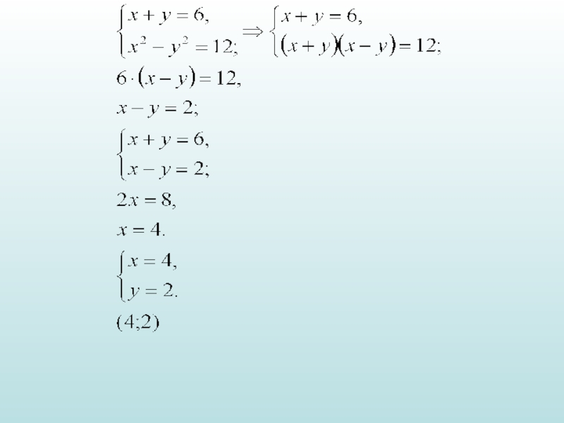
(1; -2)

Слайд 1Тема: Решение систем уравнений различными методами
“Я мыслю, - значит существую”
Рене Декарт (1596-1650)

Тема: Решение систем уравнений различными методами“Я мыслю, - значит существую”Рене Декарт (1596-1650)

Слайд 6
(1; -2)



(1; -2)

Слайд 7Какая пара чисел является решением
системы

?

(1; -2)

(2; 1)

(2; -1)

(1; 2)

Какая пара чисел является решением системы           ?(1;

Слайд 8Укажите систему уравнений, которая имеет 2 решения.

x+5=0
y=x²-2
y=-x+10
y+4=0
y
X


1.
2.
3.
4. Все системы.

Укажите систему уравнений, которая имеет 2 решения.x+5=0y=x²-2y=-x+10y+4=0yX1.2.3.4. Все системы.

Слайд 9При каких значениях m система имеет два решения?

y
x
-2
2

При каких значениях m система  имеет два решения?yx-22

Слайд 10Воспользовавшись графическим методом, ответьте на вопрос: сколько решений имеет система уравнений: а)

б) в)



Воспользовавшись графическим методом, ответьте на вопрос: сколько решений имеет система уравнений: а)

Что такое shareslide.ru?

Это сайт презентаций, где можно хранить и обмениваться своими презентациями, докладами, проектами, шаблонами в формате PowerPoint с другими пользователями. Мы помогаем школьникам, студентам, учителям, преподавателям хранить и обмениваться учебными материалами.


Для правообладателей

Яндекс.Метрика

Обратная связь

Email: Нажмите что бы посмотреть