Презентация, доклад к уроку математики для 8 класса по теме Решение квадратных уравнений

Содержание

В н и м а н и е ! 29 32 45 58 60 47

Слайд 1УРОК МАТЕМАТИКИ


8 КЛАСС

УРОК   МАТЕМАТИКИ8 КЛАСС

Слайд 2
В н и м а н и е !

29 32 45 58
60 47 38 71
85 54 73 55
42 27 15 68
В н и м а н и е !      29

Слайд 3Какое число лишнее ?
458, 23, 700, 916

500, 80, 35, 1000


 

Какое число лишнее ?458, 23, 700, 916500, 80, 35, 1000       

Слайд 5Какие слова здесь зашифрованы?
- еронь

- ниваренуе

- фэкоцинетиф

- таиимдкисрин


Какие слова здесь зашифрованы?- еронь - ниваренуе - фэкоцинетиф - таиимдкисрин

Слайд 6Проверяем:
- - еронь

(корень)

ниваренуе (уравнение)

фэкоцинетиф (коэффициент)

- таиимдкисрин (дискриминант)

Проверяем: -   - еронь

Слайд 8ТЕМА УРОКА
РЕШЕНИЕ

КВАДРАТНЫХ УРАВНЕНИЙ

ТЕМА УРОКА РЕШЕНИЕ КВАДРАТНЫХ УРАВНЕНИЙ

Слайд 9
Приобретать знания -

храбрость,

приумножать их - мудрость,

а умело применять - великое искусство.
Приобретать знания -

Слайд 10Физкультминутка для глаз

Физкультминутка для глаз

Слайд 11Какие из данных уравнений являются квадратными?
х² + 2х

- 9 =0
32х=0
5 + 16х + 2х² =0
8 + 7х² =0
3х - х² + 1 =0
5х - 15 =0


Какие из данных уравнений являются квадратными?   х² + 2х - 9 =032х=0  			5 +

Слайд 12Экспресс-диагностика
- Является ли число 0 корнем уравнения 2х² - х

= 0 ?
- Является ли число ( -1) корнем уравнения 3х ²+ 3 = 0 ?
-Является ли уравнение 1 = 4х² неполным квадратным уравнением?
- Верно ли, что уравнение 5х² - 2х = 0 имеет два корня ?
-
Экспресс-диагностика- Является ли число 0 корнем уравнения  2х² - х = 0 ?- Является ли число

Слайд 13
Имеет ли уравнение х² + 9 = 0 корни?

Верно ли, что

уравнение ах² = 0 всегда имеет единственный корень?

- Может ли в квадратном уравнении
1 коэффициент быть равен нулю?

Имеет ли уравнение х² + 9 = 0 корни?Верно ли, что уравнение  ах² = 0 всегда

Слайд 14
КОД ОТВЕТА:

1 011 010

КОД ОТВЕТА:1 011 010

Слайд 15

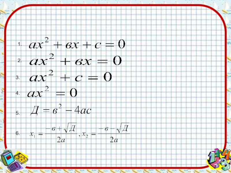
1.
2.
3.
4.
5.
6.
7.

1. 2. 3. 4. 5. 6. 7.

Слайд 16


Получили шестизначное число

1 5 6

2 4 3

Это - код ответа
Получили шестизначное число1 5 6 2 4 3

Слайд 17

Ответьте на вопросы.

Ответьте на вопросы.

Слайд 18

4х² +16х =0

8х² =0
1+ х² =6х
3х² =2х +11
10 - 5х² =0
х² +2х =9

4х² +16х =0       8х² =0

Слайд 19Найдите дискриминант и определите число корней уравнения:


3х² +7х +5

=0
(д=-11)
9х² -6х +1 =0
(д=0)
3х² -5х -2 =0
(д=49)

Найдите дискриминант и определите число корней уравнения:   3х² +7х +5 =0

Слайд 20


Проверяем работы.

Проверяем работы.

Слайд 21Физкультминутка
Быстро встали, улыбнулись,
Выше-выше подтянулись.
Ну-ка плечи распрямите,
Поднимите, опустите.
Вправо, влево повернитесь,
Рук коленями

коснитесь.
А теперь представим, детки,
Будто руки наши - ветки.
Покачаем ими дружно,
Словно ветер дует южный.
Ветер стих. Шуметь не нужно!
Нам урок продолжить нужно.
Подравнялись, тихо сели
И на доску посмотрели.




Логвиненко С.Р. ГОУ ЦО № 975

ФизкультминуткаБыстро встали, улыбнулись,Выше-выше подтянулись.Ну-ка плечи распрямите, Поднимите, опустите.Вправо, влево повернитесь,Рук коленями коснитесь.А теперь представим, детки,Будто руки наши

Слайд 22 Я слышу – я забываю, я вижу – я запоминаю,

я делаю – я усваиваю.


Я слышу – я  забываю,   я вижу – я запоминаю,

Слайд 23Сегодня на уроке

УЗНАЛ
ЗАПОМНИЛ
НАУЧИЛСЯ
УДИВИЛСЯ
ПОВТОРИЛ

Я

Сегодня на уроке

Слайд 24Веселый тест
-ПРИРОДНЫЕ; - ЕСТЕСТВЕННЫЕ;
-НАТУРАЛЬНЫЕ; -ИСКУССТВЕННЫЕ.

-ПОЛУВРАТАРЬ;

-ПОЛУЗАЩИТНИК;
-ПОЛУТРЕНЕР; -ПОЛУНАПАДАЮЩИЙ.

-ДЕСЯТКА; -ДЕВЯТКА;
-ШЕСТЁРКА; -ПЯТЁРКА.

Веселый тест -ПРИРОДНЫЕ;   - ЕСТЕСТВЕННЫЕ; -НАТУРАЛЬНЫЕ; -ИСКУССТВЕННЫЕ. -ПОЛУВРАТАРЬ;  -ПОЛУЗАЩИТНИК; -ПОЛУТРЕНЕР; -ПОЛУНАПАДАЮЩИЙ. -ДЕСЯТКА;

Слайд 25
-ЦИФРОВЫЕ; -ЧИСЛОВЫЕ;
-ФОРМУЛЬНЫЕ

; -ДРОБНЫЕ.

-СЛОЖЕНИЕ; -УМНОЖЕНИЕ;
-ВЫЧИТАНИЕ; -ДЕЛЕНИЕ.

-ЛИЧНОЕ; -ЧАСТНОЕ;
-ОБЩЕСТВЕННОЕ; -КОЛЛЕКТИВНОЕ.
-ЦИФРОВЫЕ;       -ЧИСЛОВЫЕ; -ФОРМУЛЬНЫЕ   ;   -ДРОБНЫЕ. -СЛОЖЕНИЕ;

Слайд 26
-ЗАДАЧУ; -ПРИМЕР;

-УРАВНЕНИЕ; -СИСТЕМУ УРАВНЕНИЙ.

-КОРЕНЬ; -СТЕБЕЛЬ;
-ЛИСТ; -ЦВЕТОК.

-СКОРОСТНОГО; -УСКОРЕННОГО;
-СОКРАЩЕННОГО; -ФИГУРНОГО.
-ЗАДАЧУ;         -ПРИМЕР; -УРАВНЕНИЕ; -СИСТЕМУ УРАВНЕНИЙ. -КОРЕНЬ;

Слайд 27
-УПРОЩЕНИЕ; -ПРИВЕДЕНИЕ ПОДОБНЫХ ЧЛЕНОВ;
-СОКРАЩЕНИЕ;

-ВЫНЕСЕНИЕ ЗА СКОБКИ.

- ТАЙМ; -ПЕРИОД;
-РАУНД; -ГЕЙМ.
-УПРОЩЕНИЕ;  -ПРИВЕДЕНИЕ     ПОДОБНЫХ ЧЛЕНОВ; -СОКРАЩЕНИЕ;  -ВЫНЕСЕНИЕ ЗА СКОБКИ.- ТАЙМ;

Слайд 28
-ПРЯМАЯ; -ЛУЧ;
-ОТРЕЗОК;

-ЛОМАНАЯ.

-ТРЕУГОЛЬНИК; -КВАДРАТ;
-ОВАЛ ; -РОМБ.

-ПРЯМОЛИНЕЙНЫЙ; -ЗАМКНУТЫЙ;
-КВАДРАТНЫЙ; -ВЫПУКЛЫЙ.
-ПРЯМАЯ;        -ЛУЧ; -ОТРЕЗОК;  -ЛОМАНАЯ. -ТРЕУГОЛЬНИК; -КВАДРАТ; -ОВАЛ ;

Слайд 29Спасибо за урок!

Спасибо за урок!

Что такое shareslide.ru?

Это сайт презентаций, где можно хранить и обмениваться своими презентациями, докладами, проектами, шаблонами в формате PowerPoint с другими пользователями. Мы помогаем школьникам, студентам, учителям, преподавателям хранить и обмениваться учебными материалами.


Для правообладателей

Яндекс.Метрика

Обратная связь

Email: Нажмите что бы посмотреть