Презентация, доклад к уроку математики 8 класс

Содержание

Степень с натуральным показателемn--

Слайд 1Урок алгебры 8 класс
учитель
математики
Ермакова
Вера
Юрьевна
2015 год

Урок алгебры 8 классучитель математикиЕрмаковаВера Юрьевна2015 год

Слайд 2

Степень с натуральным показателем

n








-
-

Степень с натуральным  показателемn--

Слайд 3
Степень с натуральным показателем

n
основание
степени
показатель
степени








Степень с натуральным  показателемn  основание  степенипоказательстепени

Слайд 4Проблемный вопрос:
Число 10-24
10-24
- ?
положительное или отрицательное?

Проблемный вопрос:Число   10-2410-24  - ? положительное или отрицательное?

Слайд 5Определение степени
с целым отрицательным
показателем
Тема урока

Определение степени с целым отрицательным показателемТема урока

Слайд 6Задачи урока

Познакомиться с определением
степени с целым
отрицательным показателем
Узнать
как пользоваться данным
определением
Научиться

находить

значение степени
с целым отрицательным
показателем

Задачи урокаПознакомиться с определениемстепени с целым отрицательным показателемУзнатькак пользоваться данным определениемНаучиться находитьзначение степени с целым отрицательным показателем

Слайд 7Чтобы решить поставленные задачи выполним несколько заданий

Чтобы решить поставленные задачи выполним несколько заданий

Слайд 8Задание 1:
Выявите закономерность и продолжите ряд чисел:
1000, 100, 10, …
Проверь

себя!
Задание 1: Выявите закономерность и продолжите ряд чисел:1000, 100, 10, …Проверь себя!

Слайд 9Задание 2:
Представьте каждое число в виде степени 10:
1000, 100, 10,

1, 1/10, 1/100, 1/1000

Проверь себя!

Задание 2: Представьте каждое число в виде степени 10:1000, 100, 10, 1, 1/10, 1/100, 1/1000Проверь себя!

Слайд 10Задание 1:

1000, 100, 10, 1, 1/10, 1/100, 1/1000 …

Задание 2:



103;

102; 101; 100;



Задание 1:1000, 100, 10, 1, 1/10, 1/100, 1/1000 … Задание 2:103; 102; 101; 100;

Слайд 11
… 10-3; 10-2; 10-1; 100; 101; 102; 103…


… 10-3; 10-2; 10-1; 100; 101; 102; 103…

Слайд 12

, где а ≠ 0, n∈
Z-
0n –

не имеет

смысла при
отрицательном значении n

, где а ≠ 0, n∈ Z-0n – не имеет смысла при  отрицательном значении n

Слайд 13Число 10-24 положительное или отрицательное?
10-24
- положительное


10-24 =

Число   10-24  положительное или отрицательное?10-24  - положительное 10-24 =

Слайд 14Закрепление:
степень ⇒ дробь


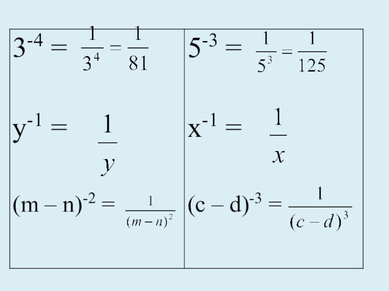
Закрепление:степень ⇒ дробь

Слайд 16Закрепление:
2) дробь ⇒ степень

Закрепление:2) дробь ⇒ степень

Слайд 18Решение задач
1. Представьте числа в виде степени с основанием 2:
8, 4,

2, 1,


2. Вычислите:

26 +

3. Из химии известно, что запись

выражает массу атома водорода.
Что означает эта запись?

Решение задач1. Представьте числа в виде степени с основанием 2:8, 4, 2, 1, 2. Вычислите:26 + 3.

Слайд 19Задачи урока

Познакомиться
с определением

степени с целым
отрицательным показателем
Узнать
как пользоваться данным
определением
Научиться


находить

значение степени
с целым отрицательным
показателем

Задачи урокаПознакомиться с определениемстепени с целым отрицательным показателемУзнатькак пользоваться данным определениемНаучиться находитьзначение степени с целым отрицательным показателем

Слайд 20Домашнее задание стр 204 (выучить определение ), № 964, № 965,

№ 970, №977(а,б)

Творческое задание:
придумать сказку
о степени с целым
отрицательным показателем

Домашнее задание стр 204 (выучить определение ), № 964, № 965, № 970, №977(а,б) Творческое задание: придумать

Что такое shareslide.ru?

Это сайт презентаций, где можно хранить и обмениваться своими презентациями, докладами, проектами, шаблонами в формате PowerPoint с другими пользователями. Мы помогаем школьникам, студентам, учителям, преподавателям хранить и обмениваться учебными материалами.


Для правообладателей

Яндекс.Метрика

Обратная связь

Email: Нажмите что бы посмотреть