Презентация, доклад к уроку Логарифмические уравнения Группа2

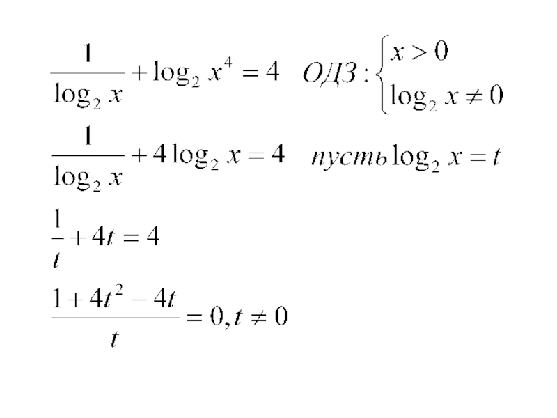
Последовательность преобразований уравнения:2) При вынесении множителем показателя степени выражения, стоящего под знаком логарифма, остающееся под логарифмом выражение должно быть положительно.1)Все выражения, стоящие под знаком логарифма, указываются в системе как положительные.

Слайд 1Логарифмические уравнения: метод введения новой переменной

Логарифмические уравнения: метод введения новой переменной

Слайд 2Последовательность преобразований уравнения:
2) При вынесении множителем показателя степени выражения, стоящего под

знаком логарифма, остающееся под логарифмом выражение должно быть положительно.

1)Все выражения, стоящие под знаком логарифма, указываются в системе как положительные.

Последовательность преобразований уравнения:2) При вынесении множителем показателя степени выражения, стоящего под знаком логарифма, остающееся под логарифмом выражение

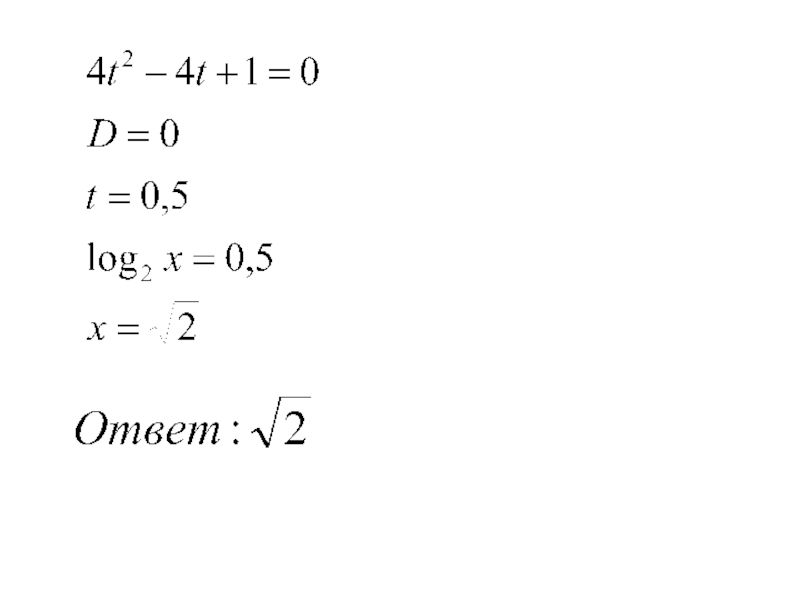
Слайд 3Цель: изучить способ решения логарифмических уравнений методом введения новой переменной

Задача :решить

логарифмическое уравнение методом введения новой переменной
Цель: изучить способ решения логарифмических уравнений методом введения новой переменнойЗадача :решить логарифмическое уравнение методом введения новой переменной

Слайд 4

Логарифмические уравнения

Логарифмические уравнения

Что такое shareslide.ru?

Это сайт презентаций, где можно хранить и обмениваться своими презентациями, докладами, проектами, шаблонами в формате PowerPoint с другими пользователями. Мы помогаем школьникам, студентам, учителям, преподавателям хранить и обмениваться учебными материалами.


Для правообладателей

Яндекс.Метрика

Обратная связь

Email: Нажмите что бы посмотреть