Презентация, доклад к уроку геометрии в 9 классе по теме Метод координат

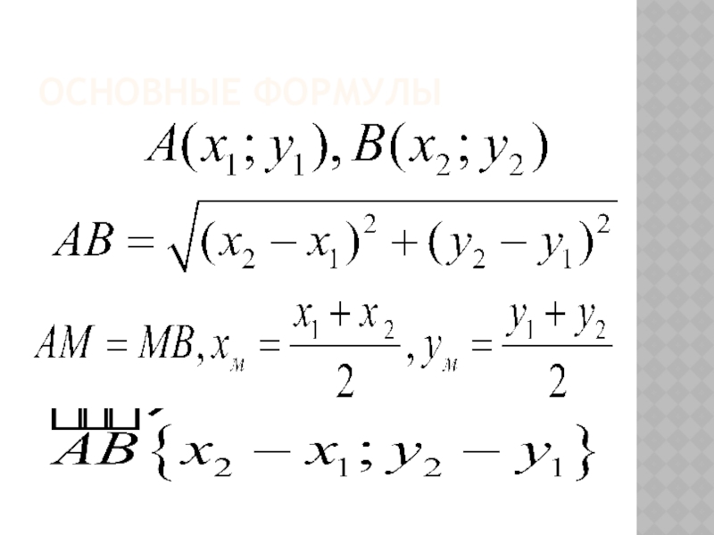
ОСНОВНЫЕ ФОРМУЛЫ

Слайд 1МЕТОД КООРДИНАТ

МЕТОД КООРДИНАТ

Слайд 2ОСНОВНЫЕ ФОРМУЛЫ

ОСНОВНЫЕ ФОРМУЛЫ

Слайд 3РЕНЕ ДЕКАРТ (1596-1650)
Французский математик, физик, философ, создатель знаменитого метода координат, сторонник

механизма в физике, предтеча рефлексологии.
По образованию юрист, но юридической практикой не занимался никогда.
РЕНЕ ДЕКАРТ (1596-1650)Французский математик, физик, философ, создатель знаменитого метода координат, сторонник механизма в физике, предтеча рефлексологии.По образованию

Слайд 4ЗАДАЧА 1.
Дано:
А(1; -2) и В(2;4)
Найти:
А)Координаты вектора ВА и разложите его

по координатным векторам I и J
Б)координаты середины отрезка;
В) найдите длину отрезка АВ.
Г) Напишите уравнение окружности, имеющий центр в точке В и проходящей через точку А


ЗАДАЧА 1. Дано:А(1; -2) и В(2;4)Найти:А)Координаты вектора ВА и разложите его по координатным векторам I и JБ)координаты

Слайд 5САМОСТОЯТЕЛЬНАЯ РАБОТА

САМОСТОЯТЕЛЬНАЯ РАБОТА

Слайд 6ЗАДАЧА 2.
Даны координаты вершин треугольника МРТ. Точки М(-4;3), Р(2,7), Т(8,2).
1) ДОКАЖИТЕ,

что данный треугольник прямоугольный.
2) Запишите уравнение окружности, описанной около этого треугольника
ЗАДАЧА 2.Даны координаты вершин треугольника МРТ. Точки М(-4;3), Р(2,7), Т(8,2).1) ДОКАЖИТЕ, что данный треугольник прямоугольный.2) Запишите уравнение

Слайд 7ДОМАШНЕЕ ЗАДАНИЕ
На «3» : №969(б), 996, 997
На «4-5»: № 995, 999,

1002
ДОМАШНЕЕ ЗАДАНИЕНа «3» : №969(б), 996, 997На «4-5»: № 995, 999, 1002

Слайд 8ПОМОГАЕТ ЛИ МЕТОД КООРДИНАТ РЕШАТЬ ГЕОМЕТРИЧЕСКИЕ ЗАДАЧИ?

ПОМОГАЕТ ЛИ МЕТОД КООРДИНАТ РЕШАТЬ ГЕОМЕТРИЧЕСКИЕ ЗАДАЧИ?

Слайд 9«Геометрия была открыта египтянами и возникла при измерении Земли. Это измерение

было им необходимо вследствие разлива Нила, постоянно смывавшего границы.

Нет ничего удивительного в том, что эта наука, как и другие, возникла из потребностей человека.»
Евдем Родосский


«Геометрия была открыта египтянами и возникла при измерении Земли. Это измерение было им необходимо вследствие разлива Нила,

Что такое shareslide.ru?

Это сайт презентаций, где можно хранить и обмениваться своими презентациями, докладами, проектами, шаблонами в формате PowerPoint с другими пользователями. Мы помогаем школьникам, студентам, учителям, преподавателям хранить и обмениваться учебными материалами.


Для правообладателей

Яндекс.Метрика

Обратная связь

Email: Нажмите что бы посмотреть