Презентация, доклад к уроку алгебры в 7 классе Квадрат суммы и квадрат разности двух выражений

Содержание

а + b, (а + b)2 а2 +b2,х – у (х – у)2, х2 – у2

Слайд 1Девиз урока:

Дорогу осилит идущий,
а математику мыслящий

Девиз урока: Дорогу осилит идущий, а математику мыслящий

Слайд 2а + b,
(а + b)2
а2 +b2,
х – у

– у)2,

х2 – у2

а + b, (а + b)2 а2 +b2,х – у (х – у)2, х2 – у2

Слайд 3Выполните устно

Найдите квадраты следующих выражений:
С, -4;


3m; 5х2у3.

Выполните устноНайдите квадраты следующих выражений:С,      -4;      3m;

Слайд 4
Найдите произведение
3х и 6у.
Чему равно

удвоенное
произведение этих
выражений?
Найдите произведение    3х и 6у.  Чему равно удвоенное     произведение

Слайд 5Ещё в глубокой древности было подмечено, что некоторые многочлены
можно

умножать короче, быстрее, чем остальные. Так появились формулы
сокращённого умножения. Их несколько. Сегодня вам предстоит сыграть
роль исследователей и «открыть» две из этих формул


Пифагор

Ещё в глубокой древности было подмечено, что некоторые многочлены  можно умножать короче, быстрее, чем остальные. Так

Слайд 7Цели урока:

вывести формулы сокращенного
умножения (квадрат суммы, квадрат разности);
закрепить навыки применения

этих формул;
развивать логическое мышление.

Цели урока:вывести формулы сокращенного умножения (квадрат суммы, квадрат разности);закрепить навыки применения этих формул;развивать логическое мышление.

Слайд 8Выполните умножение
(х + 6)(х –5)

Выполните умножение(х + 6)(х –5)

Слайд 9
Объясните: как умножить многочлен на многочлен?

Объясните: как умножить многочлен на многочлен?

Слайд 11
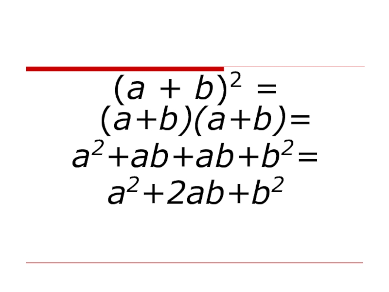
(а + b)2 = (a+b)(a+b)=
a2+ab+ab+b2=
a2+2ab+b2


 

(а + b)2 =      (a+b)(a+b)= a2+ab+ab+b2=a2+2ab+b2  

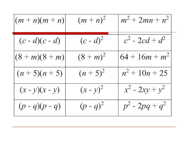
Слайд 12 (а + b)2 = a2 + 2ab + b2
Правило: квадрат

суммы двух выражений равен квадрату первого выражения плюс удвоенное произведение первого и второго выражений плюс квадрат второго выражения
(а + b)2 = a2 + 2ab + b2  Правило: квадрат суммы

Слайд 13
(а - b)2 = (a-b)(a-b)=
а2-ab-ab+b2=
а2-2ab+b2



(а - b)2 =      (a-b)(a-b)= а2-ab-ab+b2=а2-2ab+b2

Слайд 14 (а - b)2 = a2 - 2ab + b2
Правило: квадрат

разности двух выражений равен квадрату первого выражения минус удвоенное произведение первого и второго выражений плюс квадрат второго выражения
(а - b)2 = a2 - 2ab + b2  Правило: квадрат разности

Слайд 15Возведите в квадрат выражение

(2х + 3)2;
(10+8а)2;
(7х – 6)2;

(5а-4х)2
Возведите в квадрат выражение(2х + 3)2; (10+8а)2; (7х – 6)2; (5а-4х)2

Слайд 16Выберите верный ответ

Выберите верный ответ

Слайд 17Правильные ответы
Задание

ответ
(с + 11)2 с2 + 22с + 121
(7у + 6)2 49у2 + 84у + 36
(9 – 8у)2 81 – 144у + 64у2
(2х-3у)2 4х2-12ху +9у2




Правильные ответыЗадание            ответ(с + 11)2

Слайд 18Упростите выражение

Упростите выражение

Слайд 19Домашнее задание.
§ 12 № 799,

№ 804.
Домашнее задание.§ 12  № 799,      № 804.

Слайд 22 Выполните самостоятельно задания

Выполните   самостоятельно задания

Что такое shareslide.ru?

Это сайт презентаций, где можно хранить и обмениваться своими презентациями, докладами, проектами, шаблонами в формате PowerPoint с другими пользователями. Мы помогаем школьникам, студентам, учителям, преподавателям хранить и обмениваться учебными материалами.


Для правообладателей

Яндекс.Метрика

Обратная связь

Email: Нажмите что бы посмотреть