Презентация, доклад к уроку алгебры в 11 классе по теме Правила вычисления производных

ТАБЛИЦА ПРОИЗВОДНЫХ

Слайд 1ПРАВИЛА ВЫЧИСЛЕНИЯ
ПРОИЗВОДНЫХ

ПРАВИЛА ВЫЧИСЛЕНИЯ ПРОИЗВОДНЫХ

Слайд 2

ТАБЛИЦА ПРОИЗВОДНЫХ

ТАБЛИЦА ПРОИЗВОДНЫХ

Слайд 3ПРАВИЛА ВЫЧИСЛЕНИЯ ПРОИЗВОДНЫХ

ПРАВИЛА ВЫЧИСЛЕНИЯ ПРОИЗВОДНЫХ

Слайд 4ТАБЛИЦА
ПРОИЗВОДНЫХ
ПРАВИЛА ВЫЧИСЛЕНИЯ
ПРОИЗВОДНЫХ

ТАБЛИЦА ПРОИЗВОДНЫХПРАВИЛА ВЫЧИСЛЕНИЯПРОИЗВОДНЫХ

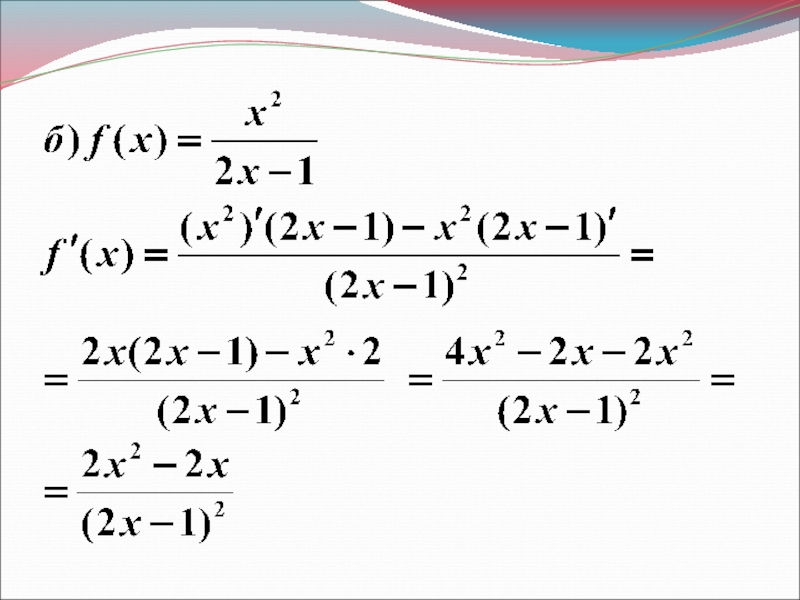
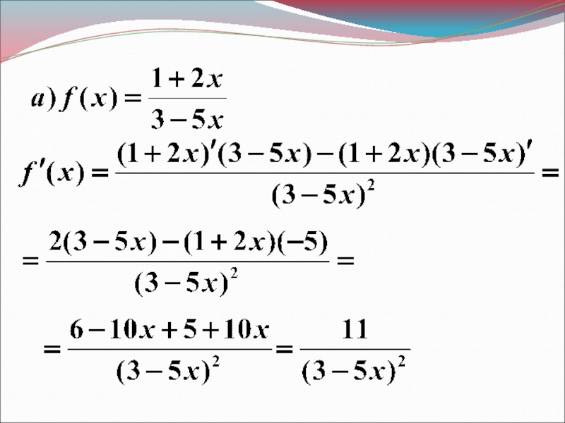
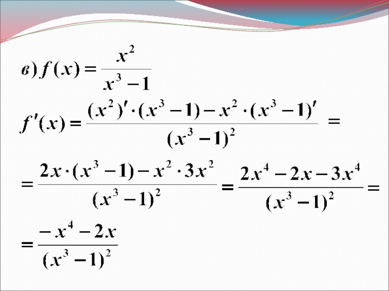
Слайд 5№1.
Найдите производные функций:

№1.Найдите производные функций:

Что такое shareslide.ru?

Это сайт презентаций, где можно хранить и обмениваться своими презентациями, докладами, проектами, шаблонами в формате PowerPoint с другими пользователями. Мы помогаем школьникам, студентам, учителям, преподавателям хранить и обмениваться учебными материалами.


Для правообладателей

Яндекс.Метрика

Обратная связь

Email: Нажмите что бы посмотреть