Презентация, доклад к уроку алгебры по теме Производная показательной и логарифмической функций

ЭКСПОНЕНТА

Слайд 1Производные элементарных функций

Производные элементарных функций

Слайд 2

ЭКСПОНЕНТА

ЭКСПОНЕНТА

Слайд 4Каково основание показательной функции касательная к которой в точке (0; 1)

наклонена к оси х под углом 45°?

Очевидно, что оно больше 2, но меньше 3.

Каково основание показательной функции касательная к которой в точке (0; 1) наклонена к оси х под углом

Слайд 7

Производная функции




Производная функции

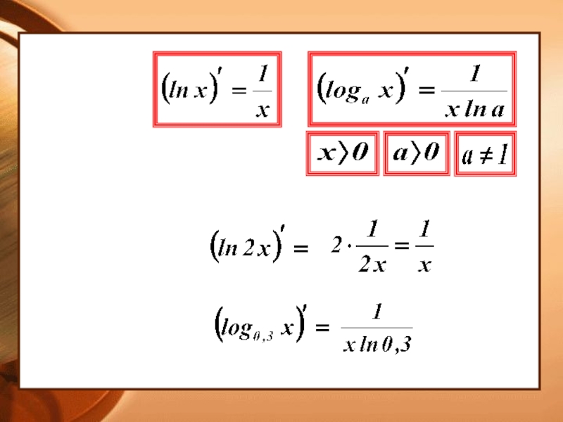
Слайд 8Производная функции

Производная функции

Слайд 17Вариант I
Вариант II

Вариант IВариант II

Слайд 18Вариант I

Вариант I

Слайд 19Вариант II

Вариант II

Что такое shareslide.ru?

Это сайт презентаций, где можно хранить и обмениваться своими презентациями, докладами, проектами, шаблонами в формате PowerPoint с другими пользователями. Мы помогаем школьникам, студентам, учителям, преподавателям хранить и обмениваться учебными материалами.


Для правообладателей

Яндекс.Метрика

Обратная связь

Email: Нажмите что бы посмотреть