Презентация, доклад к уроку – путешествию В мир одночленов и многочленов.

«Путешествие в мир одночленов и многочленов»

Слайд 1Урок по алгебре в 7 классе

«Одночлены и многочлены»

Учитель математики Волощук Елена

Эдемовна
Урок по алгебре  в 7 классе«Одночлены и многочлены»Учитель математики Волощук Елена Эдемовна

Слайд 2«Путешествие в мир одночленов и многочленов»

«Путешествие  в мир одночленов и многочленов»

Слайд 3Достижения крупные людям Никогда не давались легко!
Путешествие в мир одночленов и многочленов.

Достижения крупные людям Никогда не давались легко!Путешествие в мир одночленов и многочленов.

Слайд 4Верно ли утверждение, определение, свойство?
1. Одночленом называют сумму числовых и буквенных

множителей.

9. Буквенный множитель одночлена, записанного в стандартном виде, называют коэффициентом одночлена.

2. Одночлены, которые отличаются друг от друга только коэффициентами, называются подобными членами.

4. В результате умножения многочлена на одночлен получается одночлен.

5. Алгебраическая сумма нескольких одночленов называется многочленом.

3. При умножении одночлена на одночлен получается одночлен.

6. В результате умножения многочлена на многочлен получается многочлен.

8. Чтобы умножить многочлен на многочлен, нужно умножить каждый член одного многочлена на каждый член другого многочлена и полученные произведения сложить.

7. Чтобы разделить многочлен на одночлен, нужно каждый член многочлена умножить на этот одночлен и полученные результаты сложить.


Верно ли утверждение, определение, свойство?1. Одночленом называют сумму числовых и буквенных множителей.9. Буквенный множитель одночлена, записанного в

Слайд 5«Путешествие в мир одночленов и многочленов.»

«Путешествие в мир одночленов и многочленов.»

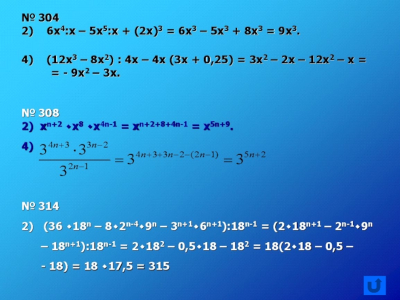
Слайд 6304(2)
304(4)
308(2)
308(4)
314(2)

304(2)304(4)308(2)308(4)314(2)

Слайд 7Устная работа.
5 а + М = 5а

+ 3 b – 8
b2 – b c - M = b2 – b c - 7 b + 5
M + (2 a2 + 4 a b – b2 ) = 3 a2 + 4 a b


4 c

4 a2

5 a

Устная работа.5 а +   М   = 5а + 3 b – 8

Слайд 8
t1 =2,4 ч

t2 = 3,2 ч

0,8 км
Vл= ?
По рисунку составьте задачу

.

Д

З

Т

П

У

t1 =2,4 чt2 = 3,2 ч0,8 кмVл= ?По рисунку составьте задачу .ДЗТПУ

Слайд 9тест
Д
З
Т
П
У

тестДЗТПУ

Слайд 10Код правильных ответов.

Код правильных ответов.

Слайд 11Домашнее задание:
"Проверь себя!" стр. 79
2) № 315*


Домашнее задание:

Слайд 122х – 3х - 5


5 - х
2х2 – 13х + 15

2х – 3х - 55 - х2х2 – 13х + 15

Слайд 14Спасибо за урок!

Спасибо за урок!

Что такое shareslide.ru?

Это сайт презентаций, где можно хранить и обмениваться своими презентациями, докладами, проектами, шаблонами в формате PowerPoint с другими пользователями. Мы помогаем школьникам, студентам, учителям, преподавателям хранить и обмениваться учебными материалами.


Для правообладателей

Яндекс.Метрика

Обратная связь

Email: Нажмите что бы посмотреть