Презентация, доклад к открытому уроку математики в 11 классеПравила дифференцирования

Цель урока Учиться применять знания о производной функции для решения задач единого государственного экзамена

Слайд 1

Правила дифференцирования


Учитель математики
МОУ Салмановская СШ
Ульяновского района
Ульяновской области

















Правила дифференцирования

Слайд 2Цель урока
Учиться применять знания
о производной функции
для решения задач


единого государственного экзамена


Цель урока Учиться применять знания о производной функции для решения задач единого государственного экзамена

Слайд 3 Ум заключается не только в знании, но и в умении применять

знания на практике.



Аристотель


Ум заключается  не только в знании,  но и в

Слайд 4

I гейм

Гимнастика ума

I гейм Гимнастика ума

Слайд 6 II гейм
Реши
подумай
запиши ответ

II гейм Реши подумайзапиши ответ

Слайд 7 III гейм
Быстрота
умения
знания

III гейм  Быстрота  умения   знания

Слайд 8 IV гейм
Если я знаю, что знаю мало,

то я добьюсь того, чтобы знать больше

IV гейм  Если я знаю, что знаю мало, то я добьюсь того, чтобы знать больше

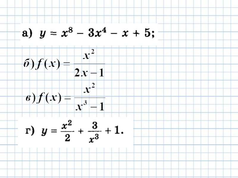
Слайд 9Найти производные функций

Найти производные функций

Слайд 10ДОМАШНЕЕ ЗАДАНИЕ
1) повторить теоретический материал по теме «Производная функции»;
2) на сайте

«Открытый банк заданий по математике» (http://mathege.ru/) найти задания по теме производная и решить не менее 5 задач;
3) протестироваться на сайте Оn – line тестирования: http://www.ege-online-test.ru/


ДОМАШНЕЕ ЗАДАНИЕ1) повторить теоретический материал по теме «Производная функции»;2) на сайте «Открытый банк заданий по математике» (http://mathege.ru/)

Слайд 11




Знание – столь драгоценная вещь, что его не зазорно добывать из

любого источника. Фома Аквинский



Знание –  столь драгоценная вещь, что его не зазорно добывать из любого источника.

Что такое shareslide.ru?

Это сайт презентаций, где можно хранить и обмениваться своими презентациями, докладами, проектами, шаблонами в формате PowerPoint с другими пользователями. Мы помогаем школьникам, студентам, учителям, преподавателям хранить и обмениваться учебными материалами.


Для правообладателей

Яндекс.Метрика

Обратная связь

Email: Нажмите что бы посмотреть