Презентация, доклад 2 Умножение разности двух выражений на их сумму

Проверка домашнего задания

Слайд 1Урок алгебры №69 в 7 классе

Урок алгебры №69  в 7 классе

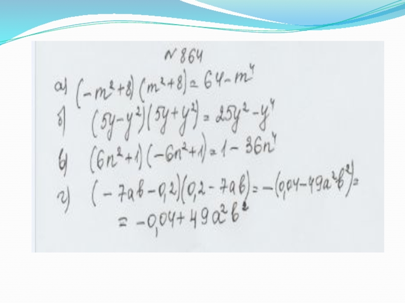
Слайд 2Проверка домашнего задания

Проверка домашнего задания

Слайд 5Устная работа. Найти произведение
(х-z)(х+z); (х-4)(х+4);
(х-6)(х+6)
(х-7)(х+7);
(9-х)(9+х)

Устная работа.   Найти произведение (х-z)(х+z); (х-4)(х+4); (х-6)(х+6)(х-7)(х+7); (9-х)(9+х)

Слайд 6Фронтальная работа
учебник
№ 857 (е-к) ,862(г-е)

Фронтальная работа учебник № 857 (е-к) ,862(г-е)

Слайд 7Индивидуальная работа Группа А

Индивидуальная работа Группа А

Слайд 8Индивидуальная работа Группа Б

Индивидуальная работа  Группа Б

Слайд 9 Работа по группам . Группа А

Работа по группам . Группа А

Слайд 10Работа по группам .Группа Б

Работа по группам .Группа Б

Слайд 11Рефлексия
Ответьте на вопрос: Какие ошибки допускались чаще при выполнении упражнений?

РефлексияОтветьте на вопрос: Какие ошибки допускались чаще при выполнении упражнений?

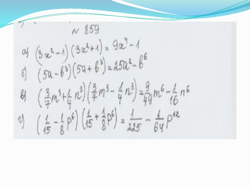
Слайд 12Домашнее задание
1 уровень: №859 (д-з), 2 уровень : № 870

Домашнее задание1 уровень: №859 (д-з), 2 уровень : № 870

Слайд 13Итоги
Ответьте на вопрос: Как формула умножения разности двух выражений и их

суммы помогает упростить выражения?
ИтогиОтветьте на вопрос: Как формула умножения разности двух выражений и их суммы помогает упростить выражения?

Что такое shareslide.ru?

Это сайт презентаций, где можно хранить и обмениваться своими презентациями, докладами, проектами, шаблонами в формате PowerPoint с другими пользователями. Мы помогаем школьникам, студентам, учителям, преподавателям хранить и обмениваться учебными материалами.


Для правообладателей

Яндекс.Метрика

Обратная связь

Email: Нажмите что бы посмотреть