Презентация, доклад на тему Преобразования графиков тригонометрических функций (10 класс)

Устная работа1. Найдите область определения функции. Что является графиком функции? y = sin² x + cos² x y = t g x * cos x y = c t g x * sin x y = t g x *

Слайд 1Преобразования графиков тригонометрических функций

Преобразования графиков тригонометрических функций

Слайд 3Устная работа
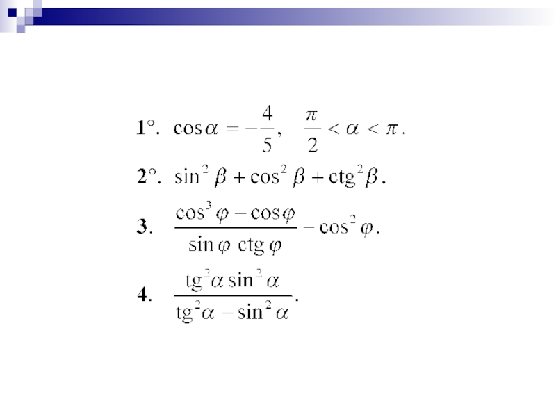
1. Найдите область определения функции. Что является графиком функции?
y =

sin² x + cos² x
y = t g x * cos x
y = c t g x * sin x
y = t g x * c t g x


Устная работа1. Найдите область определения функции. Что является графиком функции?			y = sin² x + cos² x			y =

Слайд 4
2. Найдите область значений функции.

y = 11 sin x
y = cos

3x
y = t g 4x + 3
y = 3 t g x
y = - 5 cos x
y = 4 sin x – 8
y = cos (5x - π/3) + 2
2. Найдите область значений функции.y = 11 sin xy = cos 3xy = t g 4x +

Слайд 5
3. Найдите наибольшее целое значение функции:
y = - 6,5 sin x
y

= 4,3 cos x
y = - cos 6x - 18

3. Найдите наибольшее целое значение функции:y = - 6,5 sin xy = 4,3 cos xy = -

Слайд 9y
x

1
-1
Какие свойства изменились?

yx 1-1Какие свойства изменились?

Слайд 10y
x

1
-1
Какие свойства еще изменились?

yx 1-1Какие свойства еще изменились?

Слайд 11y
x

1
-1
Какие свойства изменились?

IIIIIIIIIIIIIIIII
IIIIIIIIIIIIIIIII

yx 1-1Какие свойства изменились?IIIIIIIIIIIIIIIIIIIIIIIIIIIIIIIIII

Слайд 13y
x

1
-1


2

yx 1-12

Слайд 14Практическая работа
Построить график функции:
y = 3 sin x y = 0,5

cos x
y = sin 2x y = cos 0,5x
y = tg (x + π/6) y = ctg (x - π/3)
y = - sin x y = - cos x
y = sin x - 2 y = cos x + 3




Практическая работа Построить график функции:	y = 3 sin x		y = 0,5 cos x	y = sin 2x		y =

Слайд 15Домашнее задание
Построить 3 графика «сложных» функций (придумать самим)

Домашнее заданиеПостроить 3 графика «сложных» функций (придумать самим)

Что такое shareslide.ru?

Это сайт презентаций, где можно хранить и обмениваться своими презентациями, докладами, проектами, шаблонами в формате PowerPoint с другими пользователями. Мы помогаем школьникам, студентам, учителям, преподавателям хранить и обмениваться учебными материалами.


Для правообладателей

Яндекс.Метрика

Обратная связь

Email: Нажмите что бы посмотреть