Презентация, доклад на тему Квадратные и биквадратные уравнения

Нет действительных корней

Слайд 1a=1, b=7, c=-8 a+b+c=0
Действительных корней нет

a=1, b=7, c=-8   a+b+c=0Действительных корней нет

Слайд 2Нет действительных корней

Нет действительных корней

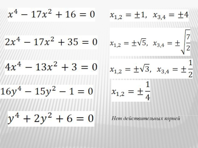
Слайд 3Уравнение вида
называется биквадратным.
Решается с помощью замены
Получаем квадратное

уравнение

Его решаем рациональным способом, делаем обратную замену
и находим , , ,

Уравнение вида называется   биквадратным.Решается с помощью замены Получаем квадратное уравнениеЕго решаем рациональным способом, делаем обратную

Слайд 4Разложение квадратного трехчлена на множители.

Разложение квадратного трехчлена на множители.

Слайд 5Формула разложения квадратного трехчлена на множители
Пример:
Решаем соответствующее квадратное уравнение

Формула разложения квадратного трехчлена на множителиПример:Решаем соответствующее квадратное уравнение

Слайд 6Домашнее задание
№№ 27.03,
27.04,

27.11.
Домашнее задание№№ 27.03,     27.04,     27.11.

Что такое shareslide.ru?

Это сайт презентаций, где можно хранить и обмениваться своими презентациями, докладами, проектами, шаблонами в формате PowerPoint с другими пользователями. Мы помогаем школьникам, студентам, учителям, преподавателям хранить и обмениваться учебными материалами.


Для правообладателей

Яндекс.Метрика

Обратная связь

Email: Нажмите что бы посмотреть