Презентация, доклад на тему Электронный образовательный ресукс по алгебре для обучающихся 9-х классов по теме Целое уравнение и его корни(9 класс)

Содержание

Предмет математики настолько серьезен, что полезно не упускать случая делать его немного занимательнымБлез Паскаль

Слайд 1 ЦЕЛОЕ УРАВНЕНИЕ И ЕГО КОРНИ

ЦЕЛОЕ УРАВНЕНИЕ И ЕГО КОРНИ

Слайд 2Предмет математики настолько серьезен, что полезно не упускать случая делать его

немного занимательным
Блез Паскаль
Предмет математики настолько серьезен, что полезно не упускать случая делать его немного занимательнымБлез Паскаль

Слайд 3 Проверка домашнего задания
№ 383(б) Ответ: - 1; 1,5.
№ 383(г) Ответ:

9.
№ 384(б) Ответ: -1; 0.
№ 384(в) Ответ: - 9; 0; 9.
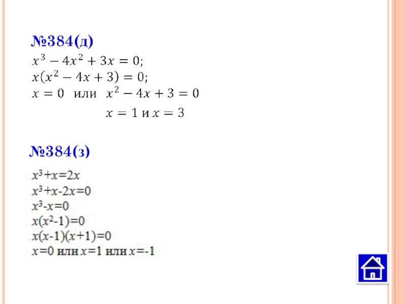
№ 384(д) Ответ: 0; 1; 3.
№ 384(з) Ответ: -1; 0; 1.


Проверка домашнего задания  № 383(б) Ответ: - 1; 1,5.№ 383(г) Ответ:  9.№ 384(б)

Слайд 4Продолжите определение:
Уравнением называется …
Корнем уравнения называется…
Решить уравнение – это значит



Какое уравнение называется целым?







Продолжите определение: Уравнением называется …Корнем уравнения называется…Решить уравнение – это значит …Какое уравнение называется целым?

Слайд 5Вопросы для повторения:
Что называют степенью уравнения?

Сколько корней может иметь уравнение


n – ой степени?
Какое уравнение называется
биквадратным?
Какие методы решения уравнений
вы знаете?
Теорема Безу

Вопросы для повторения: Что называют степенью уравнения?Сколько корней может иметь уравнение n – ой степени?Какое уравнение называется

Слайд 6 Классная работа
1 группа:
№ 385(а,

в, д)

2 группа:
№ 385(б), 386(б), 389(а)

3 группа:
№ 385(г), 386(а), 390(а)

Классная работа1 группа:№ 385(а, в, д)2 группа:№ 385(б), 386(б), 389(а)3

Слайд 71 вариант:
в)
1 вариант:
б)
Самостоятельная работа (ОГЭ_№21) Решите уравнения:
в)
Ответы:
а)
2 вариант:
2 вариант:
а)
б)

в)

в)

1 вариант:  в)1 вариант:б) Самостоятельная работа (ОГЭ_№21) Решите уравнения:в)Ответы:а)2 вариант:2 вариант:а)б)  в)в)

Слайд 8Домашнее задание

по группам:
1 группа: № 384(3стр), 385(2стр)
2 группа: № 385–386(г,д); 389–390(б)
3 группа: № 389 – 390(б,г), 391(а,в)




Домашнее задание          по группам:

Слайд 9 Методы решения
уравнений
графический
введение новой
переменной
разложение
на множители
вынесение
за

скобку
общего
множителя

формулы
сокращенного
умножения

способ
группировки

Методы решения уравнений графический введение новой переменнойразложение на множителивынесение за скобкуобщего множителяформулысокращенногоумноженияспособ группировки

Слайд 10Вынесение за скобку общего множителя

Пример:

3x3-x2+18x+6=0
x2(3x+1)+6(3x+1)=0
(3x+1)(x2+6)=0
3x+1=0 или x2+6=0
x=-1/3

нет корней
Ответ: x=-1/3
Вынесение за скобку общего множителяПример:3x3-x2+18x+6=0x2(3x+1)+6(3x+1)=0(3x+1)(x2+6)=03x+1=0   или   x2+6=0x=-1/3

Слайд 11Метод группировки

Метод группировки

Слайд 12Пример 2

(х+6)2=(15-х)2
((х+6)-(15-х))((х+6)+(15-х))=0
(х+6-15+х)(х+6+15-х)=0
(2х-9)21=0
2х=9
х=4,5
Пример 1

(х-2)(х2+8х+16)=7(х+4)
(х-2)(х+4)2-7(х+4)=0
(х+4)((х-2)(х+4)-7)=0
(х+4)(х2+2х-15)=0
х+4=0 или х2+2х-15=0
х=-4

D=64
х1=3
х2=-5


Формулы сокращенного умножения

Пример 2(х+6)2=(15-х)2((х+6)-(15-х))((х+6)+(15-х))=0(х+6-15+х)(х+6+15-х)=0(2х-9)21=02х=9х=4,5Пример 1(х-2)(х2+8х+16)=7(х+4)(х-2)(х+4)2-7(х+4)=0(х+4)((х-2)(х+4)-7)=0(х+4)(х2+2х-15)=0х+4=0 или  х2+2х-15=0х=-4         D=64

Слайд 13Ответы к уравнениям самостоятельной работы:
1 вариант:

2 вариант:

б) 0; 1; 5.

1 вариант:

а) 0; – 2; – 3.

в) 0,2 .

2 вариант:

б) 0; 2; 3.

а) 0; – 2; – 4.

в) 0,25 .

Ответы к уравнениям самостоятельной работы:1 вариант:

Слайд 14№383(б)
 
№383(г)

№383(б) №383(г)

Слайд 15№384(б)
№384(в)

№384(б)№384(в)

Слайд 16№384(д)
№384(з)

№384(д)№384(з)

Слайд 17Решите уравнения:

Решите уравнения:

Слайд 20Значит исходное уравнение можно представить в виде
(х-2)(х2-6х+1)=0.
Отсюда
х-2=0 или х2-6х+1=0


х=2

Ответ: х=2,



Значит исходное уравнение можно представить в виде(х-2)(х2-6х+1)=0.Отсюда х-2=0  или х2-6х+1=0 х=2Ответ: х=2,

Слайд 25Определите степень уравнения:

Определите степень уравнения:

Слайд 26Спасибо за внимание!
До новых встреч!

Спасибо за внимание!До новых встреч!

Что такое shareslide.ru?

Это сайт презентаций, где можно хранить и обмениваться своими презентациями, докладами, проектами, шаблонами в формате PowerPoint с другими пользователями. Мы помогаем школьникам, студентам, учителям, преподавателям хранить и обмениваться учебными материалами.


Для правообладателей

Яндекс.Метрика

Обратная связь

Email: Нажмите что бы посмотреть