Презентация, доклад на тему Электронные уроки по алгебре в 8 классе

Содержание

Приветствую вас на уроке алгебры в 8 классеУрок №8726.01.17г.

Слайд 1 Урок алгебры в 8 классе с углубленным изучением математики Автор разработки: учитель математики

МБОУ СШ №10 г.Павлово Леонтьева Светлана Ивановна

Ни одна наука так не укрепляет веру в силу человеческого разума, как математика.
Гуго Штейнгауз

Урок алгебры в 8 классе  с углубленным изучением математики Автор разработки: учитель математики МБОУ СШ

Слайд 2Приветствую вас на уроке алгебры в 8 классе
Урок №87
26.01.17г.

Приветствую вас  на уроке алгебры  в 8 классеУрок №8726.01.17г.

Слайд 3
Девиз урока
Успешного усвоения учебного материала

Мало

иметь хороший ум,
главное – хорошо его применять.

Рене Декарт

Девиз урокаУспешного усвоения учебного материала  Мало иметь хороший ум, главное –

Слайд 4

Отчёт
по выполнению
ДР в группе

Отчёт по выполнению ДР в группе

Слайд 5
КР№ 4 – 10 февраля.
1.Теория. §25-31.

Выучить справочные таблицы для решения квадратного уравнения. Формулу разложения квадратного трёхчлена на множители. Схему решения биквадратных уравнений.
Разобрать задания, решенные в классе.
2.Практика. №№ 476,477(2),478

Проверить в парах!!!


ДР№42 на 26.01.17

КР№ 4 – 10 февраля.1.Теория. §25-31. Выучить справочные таблицы для решения квадратного

Слайд 6

Оцените
своё выполнение
ДР

Оцените своё выполнение ДР

Слайд 7 КР
26.01.17
Решение задач с помощью

квадратных уравнений. §31

КР   26.01.17Решение задач с помощью квадратных уравнений. §31

Слайд 8Цели урока:
Рассмотреть основные задачи, при решении которых нужно составить и решить

квадратное уравнение.
Закрепить формулы решения квадратных уравнений .
Продолжить формирование культуры устной и письменной математической речи и культуры общения.
Цели урока:Рассмотреть основные задачи, при решении которых нужно составить и решить квадратное уравнение.Закрепить формулы решения квадратных уравнений

Слайд 9Анализ ошибок СР от 24.01.17.
1. Записать неотрицательное число вместо …
Проверка

Анализ ошибок СР от 24.01.17.1. Записать неотрицательное число вместо …Проверка

Слайд 10Анализ ошибок СР от 24.01.17.
Проверка
Проверка

Анализ ошибок СР от 24.01.17.ПроверкаПроверка

Слайд 11Анализ ошибок СР от 24.01.17.
2. Записать неположительное число вместо …
Проверка

Анализ ошибок СР от 24.01.17.2. Записать неположительное число вместо …Проверка

Слайд 12Анализ ошибок СР от 24.01.17.
Проверка
Проверка

Анализ ошибок СР от 24.01.17.ПроверкаПроверка

Слайд 13Анализ ошибок СР от 24.01.17.
3. Умножить обе части уравнения на 5:
Проверка

Анализ ошибок СР от 24.01.17.3. Умножить обе части уравнения на 5:Проверка

Слайд 14Анализ ошибок СР от 24.01.17.
Проверка

Анализ ошибок СР от 24.01.17.Проверка

Слайд 15Анализ ошибок СР от 24.01.17.
4. Поделить обе части уравнения на -

4:

Проверка

Анализ ошибок СР от 24.01.17.4. Поделить обе части уравнения на - 4:Проверка

Слайд 16Анализ ошибок СР от 24.01.17.
Проверка
Проверка

Анализ ошибок СР от 24.01.17.ПроверкаПроверка

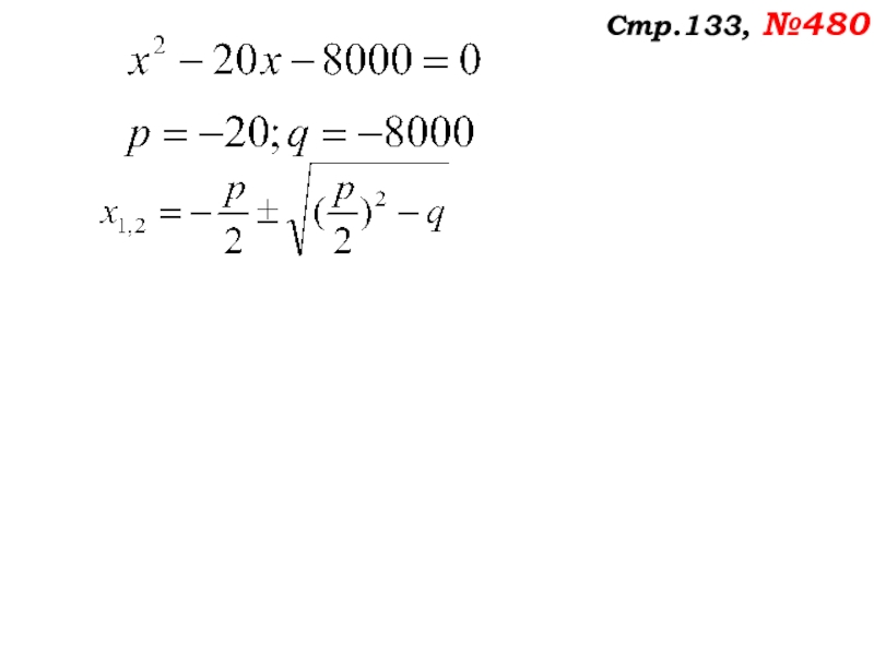
Слайд 17Стр.133, №480
Прочитайте задачу самостоятельно
На какую тему задача?
Прочитайте задачу вслух
Какие объекты движутся?
Как

удобно оформить условие?

Что нужно найти?
Что нужно обозначить за х?

Стр.133, №480Прочитайте задачу самостоятельноНа какую тему задача?Прочитайте задачу вслухКакие объекты движутся?Как удобно оформить условие? Что нужно найти?

Слайд 18Стр.133, №480
Заполняем таблицу!!!

Стр.133, №480Заполняем таблицу!!!

Слайд 19Стр.133, №480
Заполняем таблицу!!!

Стр.133, №480Заполняем таблицу!!!

Слайд 20Стр.133, №480
Заполняем таблицу!!!

Стр.133, №480Заполняем таблицу!!!

Слайд 21Стр.133, №480
Заполняем таблицу!!!

Стр.133, №480Заполняем таблицу!!!

Слайд 22Стр.133, №480
Какие данные остались неиспользованными?

Стр.133, №480Какие данные остались неиспользованными?

Слайд 23Стр.133, №480
По условию имеем уравнение:
Возможны 3 варианта:

Стр.133, №480По условию имеем уравнение:Возможны 3 варианта:

Слайд 24Стр.133, №480
По условию имеем уравнение:

Стр.133, №480По условию имеем уравнение:

Слайд 25Стр.133, №480
По условию имеем уравнение:
Назовите НОЗ:

Стр.133, №480По условию имеем уравнение:Назовите НОЗ:

Слайд 26Стр.133, №480
По условию имеем уравнение:
НОЗ:
Запишите равенство для новых числителей



Стр.133, №480По условию имеем уравнение:НОЗ:Запишите равенство для новых числителей

Слайд 27Стр.133, №480
По условию имеем уравнение:
НОЗ:
Раскройте скобки, приведите подобные, получите квадратное уравнение



Стр.133, №480По условию имеем уравнение:НОЗ:Раскройте скобки, приведите подобные, получите квадратное уравнение

Слайд 28Стр.133, №480
По условию имеем уравнение:
НОЗ:
Решите квадратное уравнение



Стр.133, №480По условию имеем уравнение:НОЗ:Решите квадратное уравнение

Слайд 29Стр.133, №480

Стр.133, №480

Слайд 30Стр.133, №480
Что мы нашли?

Стр.133, №480Что мы нашли?

Слайд 31Стр.133, №480
Скорость скорого поезда -
товарного поезда -

Стр.133, №480Скорость скорого поезда -товарного поезда -

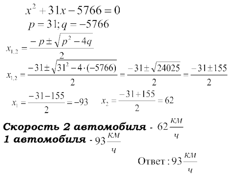
Слайд 32Задача из ОГЭ
Два автомобиля одновременно отправляются в 930-километровый пробег.


Первый едет со скоростью
на большей, чем второй, и прибывает к финишу на 5ч раньше второго. Найдите скорость первого автомобиля.

Решите задачу в паре

Проверка

Задача из ОГЭ  Два автомобиля одновременно отправляются в 930-километровый пробег. Первый едет со скоростью на

Слайд 33Стр.133, №480
По условию имеем уравнение:

Стр.133, №480По условию имеем уравнение:

Слайд 34По условию имеем уравнение:
НОЗ:



По условию имеем уравнение:НОЗ:

Слайд 35Скорость 2 автомобиля -
1 автомобиля -

Скорость 2 автомобиля -1 автомобиля -

Слайд 36
Что делали на уроке?
Как величины
скорость, время, расстояние взаимосвязаны?

Что делали на уроке?Как величины скорость, время, расстояние взаимосвязаны?

Слайд 37


Подводим итоги работы на

уроке:

Кто на уроке был лучшим?

Решал в основном успешно и самостоятельно -»5»,
Использовал подсказки – «4»,
Испытывал проблемы -…

Подводим итоги работы на уроке:    Кто на уроке

Слайд 38

1.Теория. §25-30. Выучить справочные таблицы для

решения квадратного уравнения. Формулу разложения квадратного трёхчлена на множители. Схему решения биквадратных уравнений.
Разобрать задания, решенные в классе.


2.Практика. Стр.130, №472,474(2)
+

ДР№43 на 27.01.17

КР№ 4 – 10 февраля.

+

1.Теория. §25-30. Выучить справочные таблицы для решения квадратного уравнения. Формулу разложения квадратного

Слайд 39
Задача
1. Два автомобиля одновременно

отправляются в 800-километровый пробег. Первый едет со скоростью
на большей, чем второй, и прибывает к финишу на 5ч раньше второго. Найдите скорость первого автомобиля.


Задача 1. Два автомобиля одновременно отправляются в 800-километровый пробег. Первый едет

Слайд 40
Заполните таблицу

Заполните таблицу

Что такое shareslide.ru?

Это сайт презентаций, где можно хранить и обмениваться своими презентациями, докладами, проектами, шаблонами в формате PowerPoint с другими пользователями. Мы помогаем школьникам, студентам, учителям, преподавателям хранить и обмениваться учебными материалами.


Для правообладателей

Яндекс.Метрика

Обратная связь

Email: Нажмите что бы посмотреть