Презентация, доклад по геометрии на тему Теорема о сумме углов треугольника

Укажите на чертежах параллельные прямые :А)

Слайд 1Сумма углов треугольника.

Сумма углов треугольника.

Слайд 2Укажите на чертежах параллельные прямые :
А)

Укажите на чертежах параллельные прямые :А)

Слайд 3Укажите на чертежах параллельные прямые :
Б)

Укажите на чертежах параллельные прямые :Б)

Слайд 4Укажите на чертежах параллельные прямые :
В)

Укажите на чертежах параллельные прямые :В)

Слайд 5Две параллельные прямые a и b пересекаются двумя непараллельными прямыми c

и d
Две параллельные прямые a и b пересекаются двумя непараллельными прямыми c и d

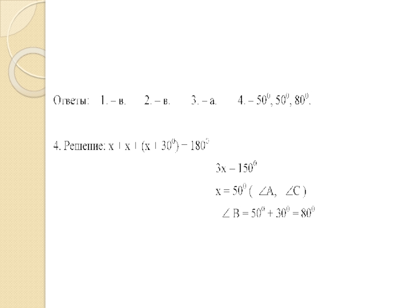
Слайд 7Найти неизвестный угол треугольника:

Найти неизвестный угол треугольника:

Слайд 9Закончите предложения:
сегодня я узнал (ла)…
было интересно…
было трудно…
теперь я могу…
я научился(ась)…
я смог(ла)…
я

попробую…

Закончите предложения: сегодня я узнал (ла)…было интересно…было трудно…теперь я могу…я научился(ась)…я смог(ла)…я попробую…

Что такое shareslide.ru?

Это сайт презентаций, где можно хранить и обмениваться своими презентациями, докладами, проектами, шаблонами в формате PowerPoint с другими пользователями. Мы помогаем школьникам, студентам, учителям, преподавателям хранить и обмениваться учебными материалами.


Для правообладателей

Яндекс.Метрика

Обратная связь

Email: Нажмите что бы посмотреть