Презентация, доклад на тему Умножение одночленов. Возведение одночлена в степень.

Устно:Разгадайте кроссворд.По вертикали:2. Числовой множитель в одночлене стандартного вида.3. Чему равен коэффициент одночлена a5bc5?4. Чему равна степень одночлена 85?5. Чему равна степень одночлена 102xy5z2?6. Чему равно (–2)2?7. Какое число получается при возведении отрицательного числа в нечётную

Слайд 1Умножение одночленов. Возведение одночлена в степень
2017
Урок 1
Преподаватель математики Салахова Р.Ф.

Умножение одночленов. Возведение одночлена в степень2017Урок 1Преподаватель математики Салахова Р.Ф.

Слайд 2Устно:
Разгадайте кроссворд.
По вертикали:
2. Числовой множитель в одночлене стандартного вида.
3. Чему равен

коэффициент одночлена a5bc5?
4. Чему равна степень одночлена 85?
5. Чему равна степень одночлена 102xy5z2?
6. Чему равно (–2)2?
7. Какое число получается при возведении отрицательного числа в нечётную степень?
8. Сумма показателей всех переменных одночлена.
9. Вид одночлена, в котором на первом месте числовой множитель, а за ним степени различных переменных.

По горизонтали:
1. Выражение, которое содержит только числа, натуральные степени переменных и их произведения.

Устно:Разгадайте кроссворд.По вертикали:2. Числовой множитель в одночлене стандартного вида.3. Чему равен коэффициент одночлена a5bc5?4. Чему равна степень

Слайд 3Изучение нового материала

1. Выполните устно умножение одночленов.
а) a3 ∙ a4;

б) a ∙ a2; в) –a ∙ a2 ∙ a4;

г) a ∙ (–x); д) (–x) ∙ (–y); е) (–x) ∙ ;

ж) (–2a) ∙ a2; з) b2 ∙ (–3b3); и) ∙ 6y;

к) (0,2a) ∙ (–5b); л) ∙ (–4ab);

м) (–8m3) ∙ (–0,5n).
Изучение нового материала1. Выполните устно умножение одночленов.а) a3 ∙ a4;    б) a ∙

Слайд 42. Теперь рассмотрим произведение двух или нескольких одинаковых одночленов, то есть

степень одночлена. Например, (5a3b2c)2. Так как этот одночлен является произведением чисел
5, a3, b2, c, то по свойству возведения в степень произведения имеем:

(5a3b2c)2 = 52(a3)2(b2)2c2 = 25a6b4c2.

В результате возведения одночлена в натуральную степень снова получается одночлен.
2. Теперь рассмотрим произведение двух или нескольких одинаковых одночленов, то есть степень одночлена. Например, (5a3b2c)2. Так как

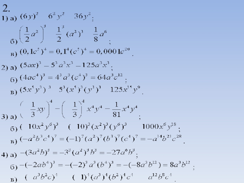
Слайд 51. № 472.
2. Выполните возведение одночлена в степень.

1) а) (6y)2; б)

; в) (0,1c5)4;

2) а) (5ax)3; б) (4ac4)3; в) (5x5y3)3;

3) а) ; б) (–10x2y6)3; в) (–a2b3c4)7;

4) а) –(3a2b)3; б) –(–2ab4)3; в) –(–a3b2c)4.
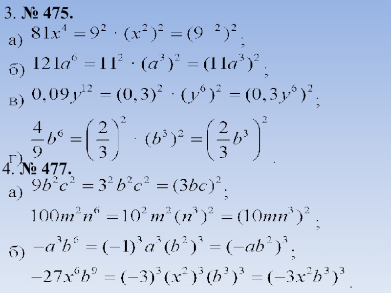
3. № 475, № 477.
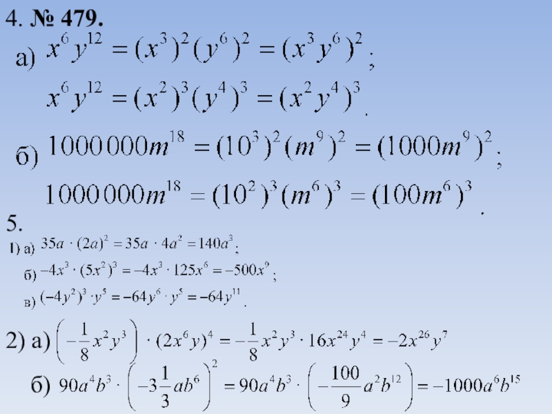
4. № 479.

.

1. № 472.2. Выполните возведение одночлена в степень.1) а) (6y)2;		б) 	   ;			в) (0,1c5)4;2) а) (5ax)3;		б)

Слайд 7Итог урока
– Дайте определение одночлена.
– В каком случае мы говорим, что

одночлен задан в стандартном виде?
– Сформулируйте определение степени одночлена. Приведите пример.
– Каким образом можно умножить одночлен на одночлен? Что получится в результате?
– Как возвести одночлен в степень? На какое правило мы при этом опираемся?
Итог урока– Дайте определение одночлена.– В каком случае мы говорим, что одночлен задан в стандартном виде?– Сформулируйте

Слайд 8№ 473; № 474; № 476; № 478; № 480.
Задание на

с/п
№ 473; № 474; № 476; № 478; № 480.Задание на с/п

Слайд 9
1. № 472
а) ;

б) ;

в)

;

г) ;

д) ;

е) .

Решения:

1. № 472а) 				 ;б) 				    ;в)	 					 ;г) 						  ;д)

Слайд 113. № 475.

3. № 475.

Слайд 124. № 479.






5.



2) а)


б)

4. № 479.5.2) а)   б)

Что такое shareslide.ru?

Это сайт презентаций, где можно хранить и обмениваться своими презентациями, докладами, проектами, шаблонами в формате PowerPoint с другими пользователями. Мы помогаем школьникам, студентам, учителям, преподавателям хранить и обмениваться учебными материалами.


Для правообладателей

Яндекс.Метрика

Обратная связь

Email: Нажмите что бы посмотреть