Презентация, доклад на тему РЕШЕНИЕ СИСТЕМ НЕРАВЕНСТВ ВТОРОЙ СТЕПЕНИ С ОДНОЙ ПЕРЕМЕННОЙ

Содержание

Пусть математика сложна,Ее до края не познать,Откроет двери нам она, В них только надо постучать!!!

Слайд 1


Слайд 2Пусть математика сложна,
Ее до края не познать,
Откроет двери нам она,
В

них только надо постучать!!!
Пусть математика сложна,Ее до края не познать,Откроет двери нам она, В них только надо постучать!!!

Слайд 3х+2≤0
-3х ≥ 63
Решите неравенство

х+2≤0-3х ≥ 63Решите  неравенство

Слайд 4Определите, какие из неравенств являются квадратичными неравенствами:

Определите, какие из неравенств являются квадратичными неравенствами:

Слайд 55x²+9x-2 < 0
Рассмотрим функцию y=5x²+9x-2
Графиком является парабола, ветви вверх (а=5, а>0).
Нули

функции:
5x²+9x-2=0

X1=-2; X2=0,2

X

-2

0,2

Ответ: (-2;0,2)

<

5x²+9x-2 < 0Рассмотрим функцию y=5x²+9x-2Графиком является парабола, ветви вверх (а=5, а>0).Нули функции: 5x²+9x-2=0 X1=-2; X2=0,2X-20,2Ответ: (-2;0,2)

Слайд 6Чтобы решить квадратичное неравенство методом парабол, надо:


Рассмотреть функцию у=ах²+bх +с, определить направление ветвей;
Найти нули функции, решив квадратное уравнение ах²+bх+с=0;
Схематически построить параболу, учитывая направление ветвей и точки пересечения с осью х;
Учитывая знак неравенства, выбрать нужные промежутки и записать ответ.
Чтобы решить квадратичное неравенство методом парабол, надо:        Рассмотреть функцию у=ах²+bх

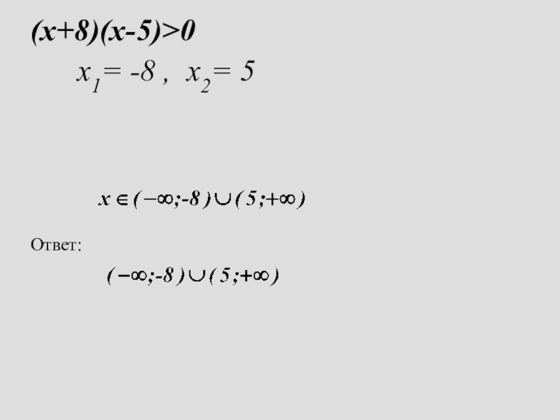
Слайд 7(x+8)(x-5)>0
x1= -8 , x2= 5






Ответ:

(x+8)(x-5)>0      x1= -8 , x2= 5     Ответ:

Слайд 8Алгоритм решения неравенств методом интервалов

Алгоритм решения неравенств  методом интервалов

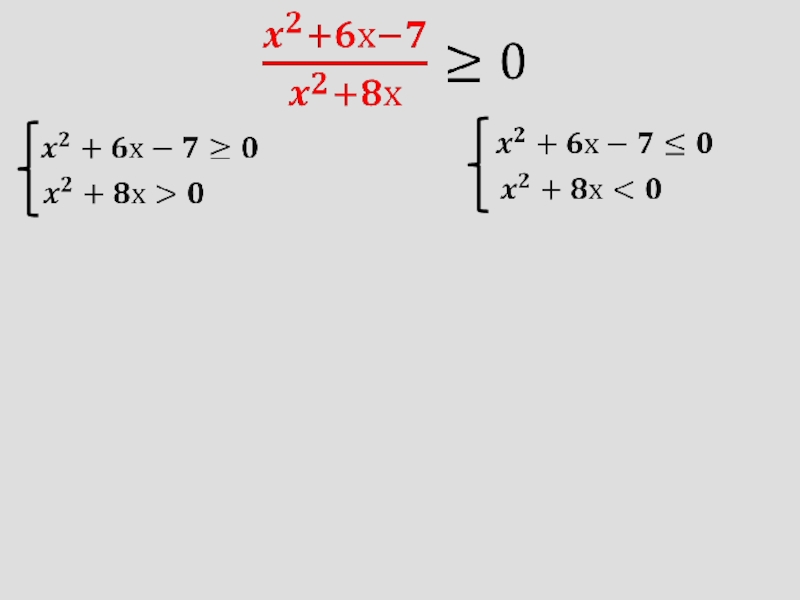
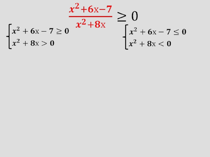
Слайд 10Найдите все допустимые значения переменной х:

Найдите все допустимые значения переменной  х:

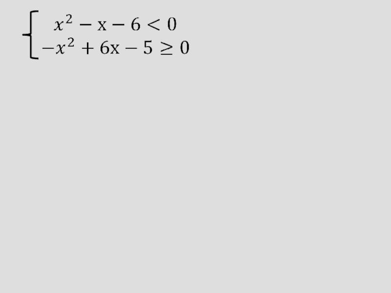
Слайд 12Решение систем неравенств второй степени с одной переменной

Решение систем неравенств второй степени с одной переменной

Слайд 15Самостоятельная работа
с самопроверкой по эталону

Самостоятельная работа с самопроверкой по эталону

Слайд 17Что нового вы узнали на уроке?
Чем пользовались, чтобы решать системы неравенств?
Оцените

свою работу на уроке.

Рефлексия деятельности
на уроке

Что нового вы узнали на уроке?Чем пользовались, чтобы решать системы неравенств?Оцените свою работу на уроке.Рефлексия деятельности на

Слайд 18х
-7
1
-8
0

х-71-80

Слайд 19Домашнее задание:

№320 (б,в,г)

Домашнее задание:№320 (б,в,г)

Слайд 20Спасибо
за
урок

Спасибо за урок

Что такое shareslide.ru?

Это сайт презентаций, где можно хранить и обмениваться своими презентациями, докладами, проектами, шаблонами в формате PowerPoint с другими пользователями. Мы помогаем школьникам, студентам, учителям, преподавателям хранить и обмениваться учебными материалами.


Для правообладателей

Яндекс.Метрика

Обратная связь

Email: Нажмите что бы посмотреть