Презентация, доклад на тему Решение неравенств,содержащих модули. методом замены множителей.

Метод замены множителей (МЗМ)Суть этого метода заключается в том, чтобы с помощью равносильных преобразований заменить каждый множитель в области его существования на более простой множитель рациональный и имеющий те же интервалы знакапостоянства (на множитель равного знака).Решение

Слайд 1Решение неравенств ,содержащих модули, методом замены множителей



Выполнила работу
Зарьянцева Виктория Павловна-учитель

высшей категории
МОУ «СОШ№84» .
Решение неравенств ,содержащих модули, методом замены множителейВыполнила работу Зарьянцева Виктория Павловна-учитель высшей категории МОУ «СОШ№84» .

Слайд 2Метод замены множителей (МЗМ)
Суть этого метода заключается в том, чтобы с

помощью равносильных преобразований заменить каждый множитель в области его существования на более простой множитель рациональный и имеющий те же интервалы знакапостоянства (на множитель равного знака).
Решение задания15 ЕГЭ для учащихся становится доступным и простым.
Метод замены множителей (МЗМ)Суть этого метода заключается в том, чтобы с помощью равносильных преобразований заменить каждый множитель

Слайд 3Неравенства ,содержащие модули.

Неравенства ,содержащие модули.

Слайд 4Метод замены множителей

Метод замены множителей

Слайд 14Парабола расположена в верхней полуплоскости если дискрименант меньше 0 и ветви

её направлены вверх.
Парабола расположена в верхней полуплоскости если дискрименант меньше 0 и ветви её направлены вверх.

Слайд 16Модуль положительного числа есть само это число

Модуль положительного числа есть само это число

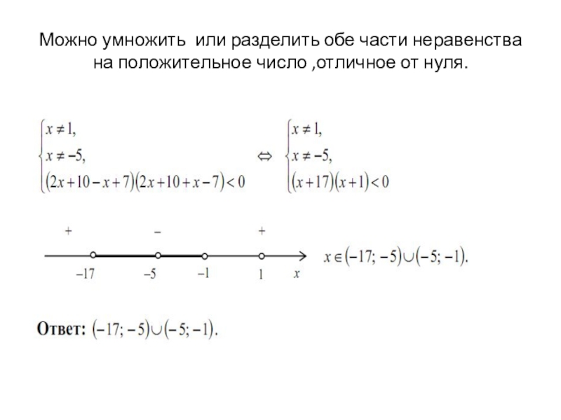
Слайд 19Можно умножить или разделить обе части неравенства на положительное число ,отличное

от нуля.
Можно умножить или разделить обе части неравенства на положительное число ,отличное от нуля.

Слайд 23СПАСИБО ЗА ВНИМАНИЕ
Желаю успехов !!!

СПАСИБО ЗА ВНИМАНИЕЖелаю успехов !!!

Что такое shareslide.ru?

Это сайт презентаций, где можно хранить и обмениваться своими презентациями, докладами, проектами, шаблонами в формате PowerPoint с другими пользователями. Мы помогаем школьникам, студентам, учителям, преподавателям хранить и обмениваться учебными материалами.


Для правообладателей

Яндекс.Метрика

Обратная связь

Email: Нажмите что бы посмотреть