Презентация, доклад на тему Равносильность уравнений - урок-путешествие (11 класс)

Цель урока:Обобщить и систематизировать знания по данной теме.

Слайд 1Равносильные уравнения и неравенства. Уравнения-следствия.
Заключительный урок.

Равносильные уравнения и неравенства.  Уравнения-следствия.Заключительный урок.

Слайд 2Цель урока:
Обобщить и систематизировать знания по данной теме.

Цель урока:Обобщить и систематизировать знания по данной теме.

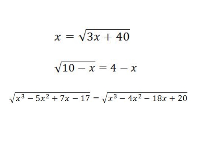
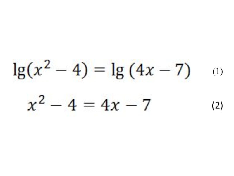
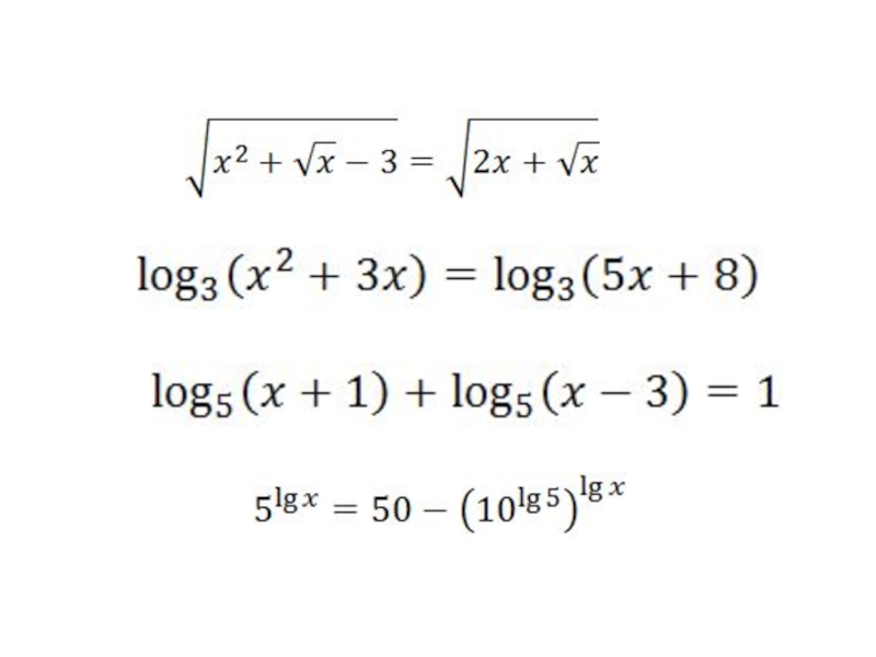
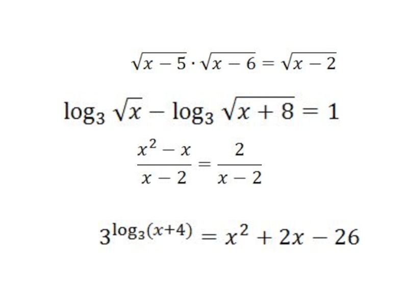
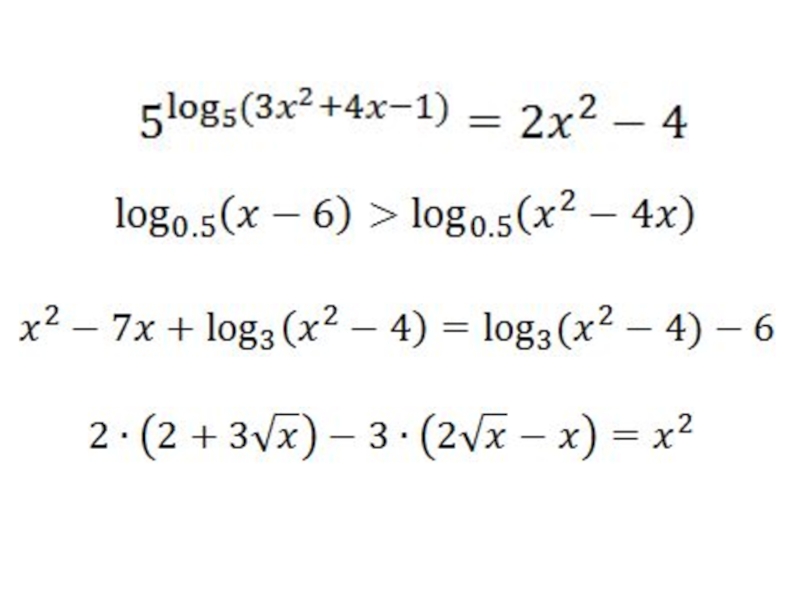
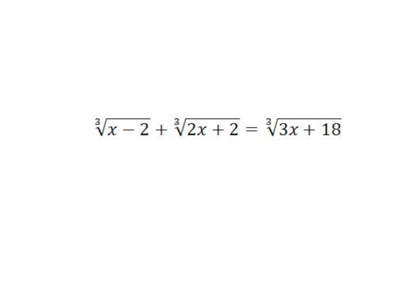
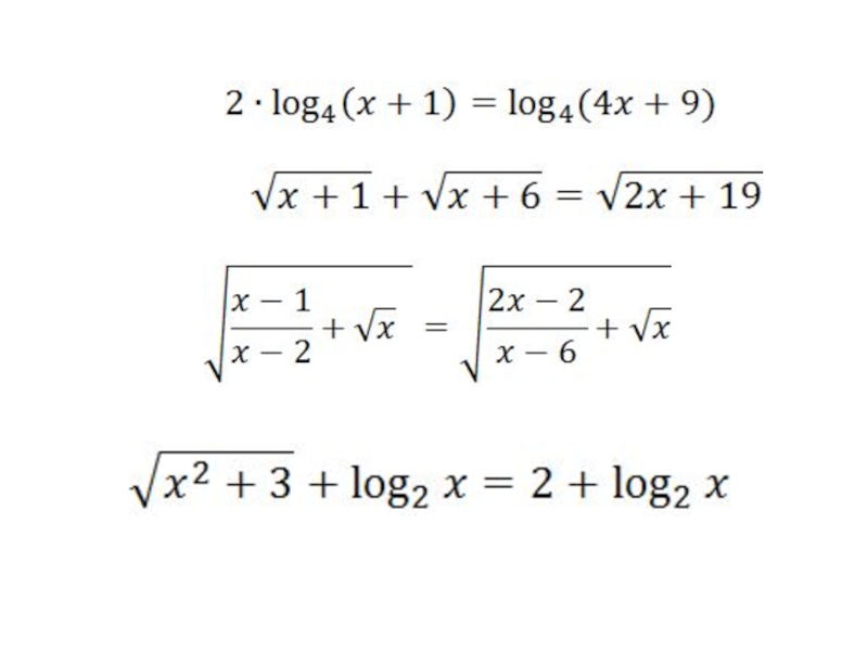
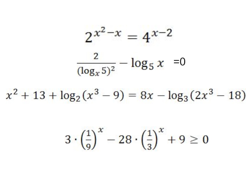
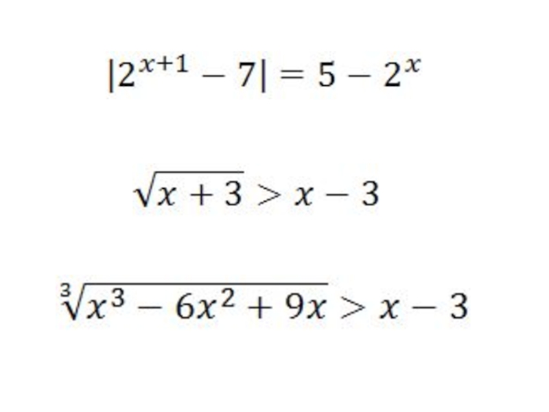
Слайд 4 (1)
(2)

(1) (2)

Слайд 7Москва

Москва

Слайд 9Париж

Париж

Слайд 11Венеция

Венеция

Слайд 15Лондон

Лондон

Слайд 17Берлин

Берлин

Слайд 19Москва

Москва

Слайд 24(... - 1) : 40 =

(... - 1) : 40 =

Слайд 25Домашнее задание
Решить неравенство

a – количество букв фамилии
b – количество букв отчества
c

– количество букв имени
Домашнее заданиеРешить неравенствоa – количество букв фамилииb – количество букв отчестваc – количество букв имени

Что такое shareslide.ru?

Это сайт презентаций, где можно хранить и обмениваться своими презентациями, докладами, проектами, шаблонами в формате PowerPoint с другими пользователями. Мы помогаем школьникам, студентам, учителям, преподавателям хранить и обмениваться учебными материалами.


Для правообладателей

Яндекс.Метрика

Обратная связь

Email: Нажмите что бы посмотреть