Презентация, доклад повторения в 10 классе на тему Преобразование выражений

Преобразование выражений

Слайд 1Преобразование выражений
Математика_10 класс
Семенова Ирина Леонидовна

Преобразование выраженийМатематика_10 классСеменова Ирина Леонидовна

Слайд 2Преобразование выражений

Преобразование выражений

Слайд 31. Приведение подобных.
2. Разложение на множители
а) вынесение общего множителя за скобки

б) формулы сокращенного умножения
в) способ группировки
3. Сокращение дроби.
4. Сложение и вычитание дробей. Приведение дробей к общему знаменателю.
a) Знаменатели не содержат букв б) Знаменатели содержат буквы
5. Умножение и деление дробей.
1. Приведение подобных.2. Разложение на множителиа) вынесение общего множителя за скобки б) формулы сокращенного умножения в) способ

Слайд 41. Приведение подобных
Подобные – это слагаемые (одночлены) с одинаковой буквенной частью
Привести

подобные – значит сложить несколько подобных слагаемых друг с другом и получить одно слагаемое.
Правило приведения подобных:
Чтобы сложить (привести) подобные слагаемые, надо сложить их коэффициенты и приписать буквенную часть.
1. Приведение подобныхПодобные – это слагаемые (одночлены) с одинаковой буквенной частьюПривести подобные – значит сложить несколько подобных

Слайд 51. Приведение подобных

1. Приведение подобных

Слайд 62. Разложение на множители
Самая важная часть в упрощении выражений
Разложить на множители,

то есть представить в виде произведения.
Особенно это важно в дробях: ведь чтобы можно было сократить дробь, числитель и знаменатель должны быть представлены в виде произведения.
2. Разложение на множителиСамая важная часть в упрощении выраженийРазложить на множители, то есть представить в виде произведения.Особенно

Слайд 72. Разложение на множители

2. Разложение на множители

Слайд 83. Сокращение дроби
Суть операции сокращения в том, что числитель и знаменатель дроби

делим на одно и то же число (или на одно и то же выражение)
Чтобы сократить дробь, нужно:
1) числитель и знаменатель разложить на множители
2) если в числителе и знаменателе есть общие множители, их можно вычеркнуть.

3. Сокращение дробиСуть операции сокращения в том, что числитель и знаменатель дроби делим на одно и то же

Слайд 9Чтобы не допускать ошибок, запомни легкий способ, как определить, разложено ли

выражение на множители:

Арифметическое действие, которое выполняется последним при подсчете значения выражения, является «главным».
То есть, если ты подставишь вместо букв какие-нибудь (любые) числа, и попытаешься вычислить значение выражения, то если последним действием будет умножение – значит, у нас произведение (выражение разложено на множители).
Если последним действием будет сложение или вычитание, это значит, что выражение не разложено на множители (а значит, сокращать нельзя).

Чтобы не допускать ошибок, запомни легкий способ, как определить, разложено ли выражение на множители:Арифметическое действие, которое выполняется

Слайд 103. Сокращение дроби

3. Сокращение дроби

Слайд 114. Сложение и вычитание дробей. Приведение дробей к общему знаменателю
Сложение и

вычитание обыкновенных дробей – операция хорошо знакомая: ищем общий знаменатель, домножаем каждую дробь на недостающий множитель и складываем/вычитаем числители.
Если знаменатели не содержат букв, находим НОК чисел
4. Сложение и вычитание дробей. Приведение дробей к общему знаменателюСложение и вычитание обыкновенных дробей – операция хорошо

Слайд 124. Сложение и вычитание дробей. Приведение дробей к общему знаменателю
Знаменатели содержат

буквы
Принцип нахождения общего знаменателя с буквами:
раскладываем знаменатели на множители;
определяем общие (одинаковые) множители;
выписываем все общие множители по одному разу;
домножаем их на все остальные множители, не общие.

4. Сложение и вычитание дробей. Приведение дробей к общему знаменателюЗнаменатели содержат буквы Принцип нахождения общего знаменателя с

Слайд 134. Сложение и вычитание дробей. Приведение дробей к общему знаменателю
Если в

разных знаменателях есть один и тот же множитель в разной степени, то в общем знаменателе такой множитель будет в максимальной из этих степеней.
Когда приводишь дроби к общему знаменателю, пользуйся только операцией умножения
4. Сложение и вычитание дробей. Приведение дробей к общему знаменателюЕсли в разных знаменателях есть один и тот

Слайд 145. Умножение и деление дробей.

5. Умножение и деление дробей.

Слайд 15Два полезных совета:
Если есть подобные, их надо немедленно привести. В какой

бы момент у нас ни образовались подобные, их желательно приводить сразу.
То же самое касается сокращения дробей: как только появляется возможность сократить, ей надо воспользоваться. Исключение составляют дроби, которые ты складываешь или вычитаешь: если у них сейчас одинаковые знаменатели, то сокращение нужно оставить на потом.
Два полезных совета:Если есть подобные, их надо немедленно привести. В какой бы момент у нас ни образовались

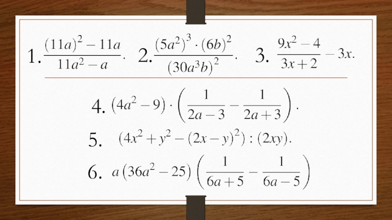
Слайд 161.
2.
3.
4.
5.
6.

1.2.3.4.5.6.

Слайд 17Спасибо за внимание!

Спасибо за внимание!

Что такое shareslide.ru?

Это сайт презентаций, где можно хранить и обмениваться своими презентациями, докладами, проектами, шаблонами в формате PowerPoint с другими пользователями. Мы помогаем школьникам, студентам, учителям, преподавателям хранить и обмениваться учебными материалами.


Для правообладателей

Яндекс.Метрика

Обратная связь

Email: Нажмите что бы посмотреть