Презентация, доклад по теме Определение производной

Содержание

Пусть точка движется вдоль прямой по закону S(t).Тогда за промежуток времени t точка проходит расстояние S(t).Пусть ∆t – малый промежуток времени. Путь, пройденный за время t+ ∆t, равен S(t+ ∆t ).Тогда средняя скорость

Слайд 1

Производная функции 11 класс

Слайд 2

Пусть точка движется вдоль прямой по закону S(t).
Тогда за промежуток времени

t точка проходит расстояние S(t).
Пусть ∆t – малый промежуток времени. Путь, пройденный за время t+ ∆t, равен S(t+ ∆t ).
Тогда средняя скорость

Пусть точка движется вдоль прямой по закону S(t).Тогда за промежуток времени t точка проходит расстояние S(t).Пусть ∆t

Слайд 3

Очевидно, если ∆t 0, то Vср.

Vмгн.
Значит,

Очевидно, если ∆t    0, то Vср.     Vмгн.Значит,

Слайд 4
=x0+∆x



Приращение функции и приращение аргумента

y=f(x)


x0
f(x)=f(x0+∆x)
f(x0)

∆x

∆f
приращение аргумента:


x
y
∆х = х - х0

(1)

Приращение функции :

∆f = f(x0 +∆x)-f(x0) (2)

∆f = f(x)-f(x0) (3)

x

В окрестности точки х0 возьмём точку х

Пусть х0- фиксированная точка, f(х0)- значение функци в точке х0

Расстояние между точками х и х0 обозначим ∆х.Оно называется приращением аргумента и равно разности между х и х0:

Первоначальное значение аргумента получило приращение ∆х, и новое значение х равно х0+∆х

Функция f(х) тоже примет новое значение: f(x0+∆x)

Т.е., значение функции изменилось на величину f(x)-f(x0)= f(x0 +∆x)-f(x0),КОТОРАЯ НАЗЫВАЕТСЯ ПРИРАЩЕНИЕМ ФУНКЦИИ И ОБОЗНАЧАЕТСЯ ∆f

Дана функция f(x)

=x0+∆xПриращение функции и приращение аргументаy=f(x)x0f(x)=f(x0+∆x)f(x0)∆x∆fприращение аргумента:xy∆х = х - х0

Слайд 5Задача: Определить положение касательной (tgφ)
х
у
0


М0
х0
f(x0)

М
х
f(x)

=x0+∆x
∆x

∆f
=f(x0+∆x)

α

φ





Секущая, поворачиваясь вокруг точки М0,
приближается к

положению касательной

Предельным положением секущей МоМ,
когда М неограниченно приближается к Мо, является касательная


Пусть дан график функции f(х) и касательная, проходящая через точку М0 ,которая образует с положительным направлением оси ОХ угол φ

Отметим точку М, координаты которой рассмотрим как приращение координат точки М0

Через точки М и М0 проведём секущую, которая образует с осью ОХ угол α

Будем перемещать точку М вдоль графика, приближая её к точке М0.Соответственно будет меняться положение секущей ММ0

При этом координата х точки М будет стремиться к х0

К чему будет стремиться приращение аргумента?

А к какому углу будет стремиться угол α ?

Задача: Определить положение касательной (tgφ)ху0М0х0f(x0)Мхf(x)=x0+∆x∆x∆f=f(x0+∆x)αφСекущая, поворачиваясь вокруг точки М0, приближается к положению касательной Предельным положением секущей МоМ,когда

Слайд 6В математике операция нахождения предела отношения приращения функции Δ f к

приращению аргумента Δ x , при условии, что приращение Δ x → 0 называется -

дифференцирование функции

Результат выполнения называют

производной

и обозначают:

В математике операция нахождения предела отношения приращения функции Δ f к приращению аргумента Δ x , при

Слайд 7Определение
Производной функции называется предел отношения приращения функции к приращению аргумента, когда

приращение аргумента стремится к нулю.

Обозначение или

ОпределениеПроизводной функции называется предел отношения приращения функции к приращению аргумента, когда приращение аргумента стремится к нулю.Обозначение

Слайд 8
Физический смысл производной
Механический смысл производной состоит в том, что производная

пути по времени равна мгновенной скорости в момент времени t0:

S'(t)= Vмг(t)
Физический смысл производной Механический смысл производной состоит в том, что производная пути по времени равна мгновенной скорости

Слайд 9Геометрический смысл производной.
Производная функции в точке x0 равна угловому коэффициенту касательной

к графику функции  y = f(x) в этой точке.
Геометрический смысл производной.Производная функции в точке x0 равна угловому коэффициенту касательной к графику функции  y = f(x)

Слайд 10Схема вычисления производной функции
1. Найти приращение функции на отрезке [ x;

x+Δx]:

2. Разделить приращение функции на приращение аргумента:

3. Найти предел отношения приращения функции к приращению аргумента, когда приращение аргумента стремится к нулю.


Схема вычисления производной функции1. Найти приращение функции на отрезке [ x; x+Δx]:2. Разделить приращение функции на приращение

Слайд 11Пример: Вычислить производную функции y=x2
Решение: Используем схему вычисления производной по действиям:
1.

2.
3.

Пример: Вычислить производную функции y=x2Решение: Используем схему вычисления производной по действиям:1.2.3.

Слайд 12Задание: Найти производную функции:
1.
2.
3.
4.
5.
6.
Решение 1
Решение 3
Решение 2
Решение 4
Решение 5
Решение 6

Задание: Найти производную функции:1.2.3.4.5.6.Решение 1Решение 3Решение 2Решение 4Решение 5Решение 6

Слайд 14Домашнее задание
1.
2.

Домашнее задание1.2.

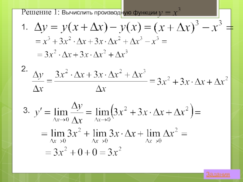
Слайд 15Решение 1: Вычислить производную функции
Задания
1.
2.
3.

Решение 1: Вычислить производную функции Задания1.2.3.

Слайд 16Решение 2: Вычислить производную функции
Задания
1.
2.
3.

Решение 2: Вычислить производную функции Задания1.2.3.

Слайд 17Решение 3: Вычислить производную функции
Задания
1.
2.
3.

Решение 3: Вычислить производную функции Задания1.2.3.

Слайд 18Решение 4: Вычислить производную функции
Задания
1.
2.
3.

Решение 4: Вычислить производную функции Задания1.2.3.

Слайд 19Решение 5: Вычислить производную функции
Задания
1.
2.
3.

Решение 5: Вычислить производную функции Задания1.2.3.

Слайд 20Решение 6: Вычислить производную функции
Задания
1.
2.
3.

Решение 6: Вычислить производную функции Задания1.2.3.

Что такое shareslide.ru?

Это сайт презентаций, где можно хранить и обмениваться своими презентациями, докладами, проектами, шаблонами в формате PowerPoint с другими пользователями. Мы помогаем школьникам, студентам, учителям, преподавателям хранить и обмениваться учебными материалами.


Для правообладателей

Яндекс.Метрика

Обратная связь

Email: Нажмите что бы посмотреть