Презентация, доклад по математике Тригонометрические уравнения и неравенства

Содержание

Обоснование цели создания пособия Как известно, в тестах, предлагаемых одиннадцатиклассникам на ЕГЭ, ежегодно предлагаются для решения тригонометрические уравнения. Поэтому возникает необходимость глубокого и всестороннего повторения теории и всех типов возможных заданий по указанной теме. Данное пособие

Слайд 1 муниципальное автономное общеобразовательное учреждение города Калининград
средняя общеобразовательная школа №45

Учебно –

методическое пособие по алгебре по теме

«Тригонометрические уравнения и неравенства».

Составил
учитель математики первой категории
Гавинская Елена Вячеславовна


2015 – 2016 учебный год

sin2x+cos2x=1

муниципальное автономное общеобразовательное учреждение города Калининградсредняя общеобразовательная школа №45Учебно – методическое пособие по алгебре по теме«Тригонометрические

Слайд 2Обоснование цели создания пособия
Как известно, в тестах, предлагаемых одиннадцатиклассникам на

ЕГЭ, ежегодно предлагаются для решения тригонометрические уравнения. Поэтому возникает необходимость глубокого и всестороннего повторения теории и всех типов возможных заданий по указанной теме. Данное пособие поможет учителям организовать итоговое повторение в 11 классах при подготовке к экзамену, а учащиеся смогут найти в нем всю необходимую теорию и образцы оформления основных типов практических заданий для успешной сдачи ЕГЭ.
Обоснование цели создания пособия Как известно, в тестах, предлагаемых одиннадцатиклассникам на ЕГЭ, ежегодно предлагаются для решения тригонометрические

Слайд 3Цель работы
Создать учебно - методическое пособие для учителей математики и

учащихся 9 – 11 классов для подготовки к сдаче Единого Государственного Экзамена по математике.
Цель работы Создать учебно - методическое пособие для учителей математики и учащихся 9 – 11 классов для

Слайд 4Тригонометрия – раздел математики, изучающий соотношения между сторонами и углами треугольника.

Тригонометрия – раздел математики, изучающий соотношения между сторонами и углами треугольника.

Слайд 5

Из истории тригонометрии
Слово «тригонометрия» греческого происхождения. В

переводе на русский язык оно означает «измерение треугольников». Как и все другие разделы математики, зародившиеся в глубокой древности, тригонометрия возникла в результате попыток решить те задачи, с которыми человеку приходилось сталкиваться на практике. Среди таких задач следует прежде всего назвать задачи землемерия и астрономии.



Из истории тригонометрии   Слово «тригонометрия» греческого происхождения. В переводе на русский язык оно означает

Слайд 6 В том, что тригонометрия относится к древним наукам, нас

убеждает хотя бы такой факт. Для предсказания момента наступления солнечного или лунного затмения необходимо произвести расчеты, требующие привлечения тригонометрии.   Весьма   точно   предсказывали   затмения   еще   древне-вавилонские   ученые. По-видимому, они уже владели элементарными тригонометрическими понятиями.

Из истории тригонометрии

(продолжение)

В том, что тригонометрия относится к древним наукам, нас убеждает хотя бы такой факт. Для

Слайд 7




Первые достоверно

засвидетельствованные тригонометрические таблицы были составлены во втором веке до н. э. Их автором был греческий астроном Г и п п а р х. Таблицы эти до нас не дошли, но в усовершенствованном виде они были включены в «Альмагест» («Великое построение») александрийского астронома Птолемея. Таблицы Птолемея подобны таблицам синусов от 0° до 90°, составленным через каждые четверть градуса. В «Альмагесте», в частности, есть формулы для синуса и косинуса суммы двух углов, содержатся также элементы сферической тригонометрии. (Сферическая тригонометрия рассматривает углы и другие фигуры не на плоскости, а на сфере.)

Из истории тригонометрии

(продолжение)

Первые достоверно засвидетельствованные тригонометрические таблицы были составлены во

Слайд 8
Из истории тригонометрии
(продолжение)
В

средние века наибольшие успехи в развитии тригонометрии были достигнуты учеными Средней Азии и Закавказья. В это время к тригонометрии начинают относиться как к самостоятельной науке, не связывая ее, как прежде, с астрономией. Большое внимание уделяется задаче решения треугольников. Одним из самых примечательных сочинений по тригонометрии этого периода является «Трактат о четырехугольнике» Насир -Эддина (XIII век). В этом трактате введен ряд новых тригонометрических понятий, по-новому доказаны некоторые уже известные результаты.
Из истории тригонометрии (продолжение)   В средние века наибольшие успехи в развитии тригонометрии

Слайд 9Из истории тригонометрии
(продолжение)
Основные работы по тригонометрии в

Европе были выполнены почти на два столетия позднее. Здесь следует прежде всего отметить немецкого ученого Региомонтана (XV век). Его главное произведение «Пять книг о различного рода треугольниках» содержит достаточно полное изложение основ тригонометрии. От наших нынешних учебников по тригонометрии это сочинение отличается в основном лишь отсутствием удобных современных обозначений. Все теоремы сформулированы словесно. После появления «Пяти книг» Региомонтана тригонометрия окончательно выделилась в самостоятельную науку, не зависящую от астрономии. Региомонтаном составлены также довольно подробные тригонометрические таблицы.
Из истории тригонометрии (продолжение)   Основные работы по тригонометрии в Европе были выполнены почти на два

Слайд 10 Развитие алгебраической символики и введение в математику отрицательных чисел позволило

рассматривать отрицательные углы; появилась возможность рассматривать тригонометрические функции числового аргумента. Развитие математики позволило вычислять значения тригонометрических функций любого числа с любой наперед заданной точностью.
Существенный вклад в развитие тригонометрии внес Эйлер. Им дано современное определение тригонометрических функций и указано на тесную связь этих функций с показательными функциями.

(продолжение)

Из истории тригонометрии

Развитие алгебраической символики и введение в математику отрицательных чисел позволило рассматривать отрицательные углы; появилась возможность рассматривать

Слайд 11 В настоящее время тригонометрические функции лежат в основе специального

математического аппарата, так называемого гармонического анализа, при помощи которого изучаются различного рода периодические процессы: колебательные движения, распространение волн, некоторые атмосферные явления и пр.

Из истории тригонометрии

(продолжение)

В настоящее время тригонометрические функции лежат в основе специального математического аппарата, так называемого гармонического анализа,

Слайд 12Способы решений
тригонометрических
уравнений.

Способы  решений тригонометрических уравнений.

Слайд 131. Решение тригонометрических уравнений, сводящихся к уравнениям высших степеней.
Введём новую переменную

t=sinx, -1 t 1. Получим:

или

- не имеет смысла, т.к. -1 sinx 1 при .

Вернёмся к исходной переменной x. Получим:

Ответ: .

1. Решение тригонометрических уравнений, сводящихся к уравнениям высших степеней.Введём новую переменную t=sinx, -1  t  1.

Слайд 142. Решение тригонометрических уравнений преобразованием суммы или разности тригонометрических функций в

их произведение.

или

Ответ: ,

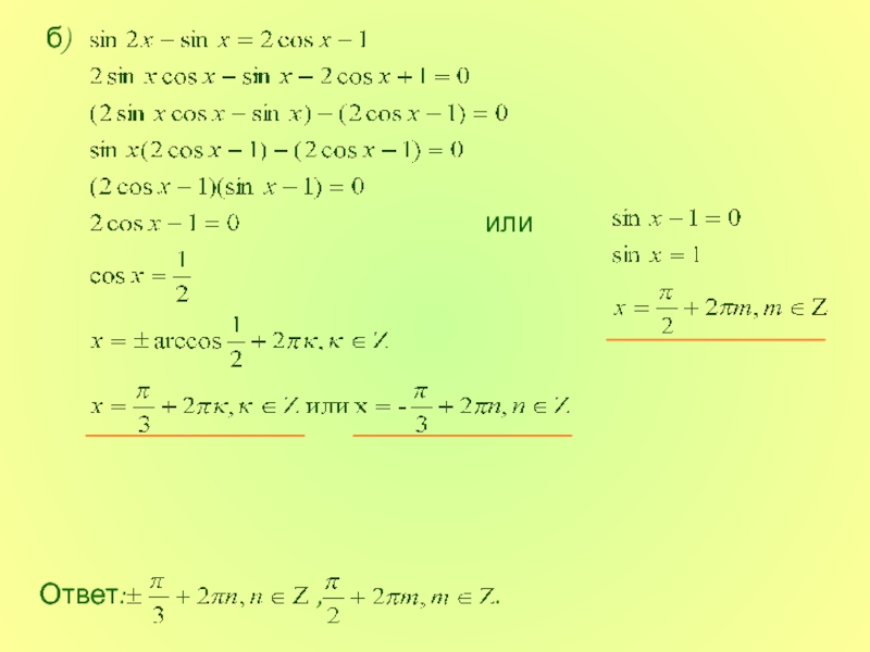
2. Решение тригонометрических уравнений преобразованием суммы или разности тригонометрических функций в их произведение.илиОтвет:

Слайд 153. Решение тригонометрических уравнений преобразованием произведения тригонометрических функций в их сумму

или разность.

или

Ответ: ,

3. Решение тригонометрических уравнений преобразованием произведения тригонометрических функций в их сумму или разность.илиОтвет:

Слайд 164. Решение тригонометрических уравнений разложением на множители.
или
Ответ:

.
4. Решение тригонометрических уравнений разложением на множители.илиОтвет:

Слайд 175. Решение однородных уравнений.
а)
! В однородных уравнениях всегда можно делить на

sinx либо на cosx, т.к. они не могут одновременно равняться 0,
согласно основному тригонометрическому тождеству.

Уравнение является однородным, если в его правой части стоит 0. Если вместо 0 находится любое число, то его следует представить через основное тригонометрическое тождество.

уравнение первой степени:

Ответ: .

б) уравнение второй степени:

или

Ответ: ; .

5. Решение однородных уравнений.а)! В однородных уравнениях всегда можно делить на sinx либо на cosx, т.к. они

Слайд 186. Решение уравнений методом понижения степени.
или
или
Ответ:

; ; .
6. Решение уравнений методом понижения степени.илиилиОтвет:

Слайд 197. Решение тригонометрических уравнений, содержащих тригонометрическую функцию под знаком радикала.







7. Решение тригонометрических уравнений, содержащих тригонометрическую функцию под знаком радикала.

Слайд 20


0
P(1;0)

x
y







0
P(1;0)



Ответ:

; .
0P(1;0)xy0P(1;0)Ответ:            ;

Слайд 218. Решение тригонометрических уравнений вида:
или
или
а)
или
Ответ:

; .
8. Решение тригонометрических уравнений вида:илиилиа)илиОтвет:

Слайд 22б)
или
в)
Ответ: ;

.

Ответ: .

б)илив)Ответ:          ;

Слайд 239. Решение линейных уравнений вида:


Ответ:

.

1 сп.

9. Решение линейных уравнений вида:Ответ:

Слайд 242 сп.


- верно при

2 сп.- верно при

Слайд 25Проверка:
- неверно, значит,

, не являются корнями уравнения.

Ответ: .

Проверка:- неверно, значит,            , не являются

Слайд 263 сп.
Ответ:

.
3 сп.Ответ:              .

Слайд 2710. Решение уравнений вида:
или
, получим :
Вернемся к исходной переменной х. Получим:

10. Решение уравнений вида:или, получим :Вернемся к исходной переменной х. Получим:

Слайд 28



- не имеет
смысла, т.к.

,
при , значит, корней нет.

Ответ: .

- не имеетсмысла, т.к.

Слайд 2911. Решение тригонометрических уравнений с использованием свойств ограниченности функции.




0
P(1;0)

Ответ:

.

x

y

11. Решение тригонометрических уравнений с использованием свойств ограниченности функции.0P(1;0)Ответ:

Слайд 30ЗАПОМНИТЬ!!!
Если система содержит 2 тригонометрических уравнения, то нельзя решать с помощью

проверок, т.к. может произойти потеря корней.
Нужно решить оба уравнения и по тригонометрическому кругу найти общее решение.
ЗАПОМНИТЬ!!!Если система содержит 2 тригонометрических уравнения, то нельзя решать с помощью проверок, т.к. может произойти потеря корней.Нужно

Слайд 3112. Решение уравнений, содержащих обратные тригонометрические функции.
Ответ: 4; -1 .
а)

12. Решение уравнений, содержащих обратные тригонометрические функции.Ответ: 4; -1 .а)

Слайд 33



Ответ: 0,5 .

Ответ: 0,5 .

Слайд 3413. Особые приёмы решения тригонометрических уравнений.
а)
или
или









Ответ:

.
13. Особые приёмы решения тригонометрических уравнений.а)илиилиОтвет:

Слайд 35б)
или
Ответ:

, .
б)илиОтвет:               ,

Слайд 3614. Решение тригонометрических уравнений смешанного типа.
а)

14. Решение тригонометрических уравнений смешанного типа.а)

Слайд 37Вернемся к исходной переменной x, получим:
Область определения исходного уравнения x>0, т.е.

оба корня являются решением данного уравнения.

Ответ: , .

Вернемся к исходной переменной x, получим:Область определения исходного уравнения x>0, т.е. оба корня являются решением данного уравнения.Ответ:

Слайд 38б)
1. Оценим левую часть уравнения :
2. Оценим правую часть уравнения :
Т.к.


то в уравнении корней

нет.

Ответ: корней нет.

б)1. Оценим левую часть уравнения :2. Оценим правую часть уравнения :Т.к. то в уравнении корней нет.Ответ:

Слайд 39Тригонометрические неравенства.

Тригонометрические неравенства.

Слайд 40Алгоритм решения неравенств вида:
(для знаков

)

Отметить точку А на оси Ох (Оу) и провести через неё прямую, перпендикулярную этой оси.
Отложить на окружности дугу, состоящую из всех точек окружности, абсциссы (ординаты) которых удовлетворяют этому неравенству.
* Эти все точки расположены по одну сторону от проведённой прямой.
Записать промежуток, прибавив к его концам .
* Левое число всегда меньше правого.

Алгоритм решения неравенств вида:(для знаков         )Отметить точку А на

Слайд 41Примеры.
1)

P(1;0)
0
x
y

Ответ:

.

2)

0


P(1;0)

x

y





Ответ: .

Примеры.1)P(1;0)0xyОтвет:

Слайд 423)

P(1;0)
y
x
0
1
2





Ответ:

.
3)P(1;0)yx012Ответ:

Что такое shareslide.ru?

Это сайт презентаций, где можно хранить и обмениваться своими презентациями, докладами, проектами, шаблонами в формате PowerPoint с другими пользователями. Мы помогаем школьникам, студентам, учителям, преподавателям хранить и обмениваться учебными материалами.


Для правообладателей

Яндекс.Метрика

Обратная связь

Email: Нажмите что бы посмотреть