Презентация, доклад по математике на тему: Свойства функции у = tgx

Содержание

Приветствую вас на уроке Девиз урока:Успешного усвоения учебного материалаГлавная сила математики состоит в том, что вместе с решением одной конкретной задачи она создаёт общие приёмы и способы, применимые во многих ситуациях, которые даже не всегда

Слайд 1 Урок разработан
учителем математики
МБОУ СШ №10 г.Павлово
Леонтьевой Светланой

Ивановной

Урок опубликован на сайте учителя: http://pavls1954.wixsite.com/1712

Урок алгебры и начал математического анализа
в 11 классе

Урок разработан учителем математики МБОУ СШ №10 г.ПавловоЛеонтьевой Светланой ИвановнойУрок опубликован на сайте учителя:

Слайд 2Приветствую вас на уроке
Девиз урока:
Успешного усвоения учебного материала
Главная сила

математики состоит в том, что вместе с решением одной конкретной задачи она создаёт общие приёмы и способы, применимые во многих ситуациях, которые даже не всегда можно предвидеть.
Эрик Темпл Белл
Приветствую вас на уроке  Девиз урока:Успешного усвоения учебного материалаГлавная сила математики состоит в том, что вместе

Слайд 3
1.Теория. Глава I, §4
(разобрать до

задачи 1)
Выучить свойства функций


2.Практика. *Стр.23-24,
№№52-57(ост),

ДР№5 на 17.09.18

1.Теория. Глава I, §4 (разобрать до задачи 1)Выучить свойства функций2.Практика. *Стр.23-24, №№52-57(ост),

Слайд 4
Зачет по свойствам тригонометрической функции
Область

определения –
Множество значений –
Периодическая, Т=
…четная
Функция принимает:
- значение, равное 0 при х=
- наибольшее значение, равное 1,при х=
- наименьшее значение, равное -1, при х=
- положительные значения на интервале … и на интервалах, получаемых сдвигами этого интервала на …
- отрицательные значения на интервале … и на интервалах, получаемых сдвигами этого интервала на …
6.Возрастающая на отрезке … и на отрезках, получаемых сдвигами этого отрезка на … ;
убывающая на отрезке … и на отрезках, получаемых сдвигами этого отрезка на … .

Зачет по свойствам тригонометрической функции Область определения – Множество значений –Периодическая, Т=…четнаяФункция

Слайд 5
2.Практика. *Стр.23-24,
№№52-57(ост)
Проверка ДР№5 на

17.09.18

Проверить в парах, оценить свою дом. работу

2.Практика. *Стр.23-24, №№52-57(ост) Проверка ДР№5 на 17.09.18Проверить в парах, оценить свою дом.

Слайд 6 20.09.18
Классная работа
Свойства функции y=tgx.

Глава I, §4
Уроки №11–12

20.09.18Классная работаСвойства функции y=tgx.Глава I, §4Уроки №11–12

Слайд 7Цели урока:
Рассмотреть свойства функций
y=tgx и

у = ctgx.
Закрепить свойства функций на примерах.
Продолжить формирование культуры устной и письменной математической речи, умения оценивать уровень своих знаний по рассматриваемой теме.
Цели урока:Рассмотреть свойства функций      y=tgx и у = ctgx.Закрепить свойства функций на

Слайд 8Стр.26 учебника
Разбираем свойства функции

,

используя рисунки учебника.


Только первый абзац

Стр.26 учебникаРазбираем свойства функции        , используя рисунки учебника.

Слайд 9Стр.26 учебника
Со слов «Зная, что функция

Стр.26 учебника Со слов «Зная, что функция

Слайд 10Стр.27 учебника
Со слов «Перейдем к построению графика функции

в тетради
Стр.27 учебника Со слов «Перейдем к построению графика функции       в тетради

Слайд 11Стр.27 учебника
Основные свойства функции

Стр.27 учебникаОсновные свойства функции

Слайд 12Стр.31,32 учебника
№№74,75 (устно с комментарием)

Стр.31,32 учебника №№74,75 (устно с комментарием)

Слайд 13Стр.29 учебника
Разбираем свойства функции

,
используя рисунки учебника.



Стр.29 учебникаРазбираем свойства функции        , используя рисунки учебника.

Слайд 14Стр.32 учебника
№№76,77 (3)

Стр.32 учебника №№76,77 (3)

Слайд 15Стр.32 учебника
№№76,77 (3)

Стр.32 учебника №№76,77 (3)

Слайд 16Стр.32 учебника
№№76,77 (3)

Стр.32 учебника №№76,77 (3)

Слайд 17Стр.32 учебника
№№76,77 (3)

Стр.32 учебника №№76,77 (3)

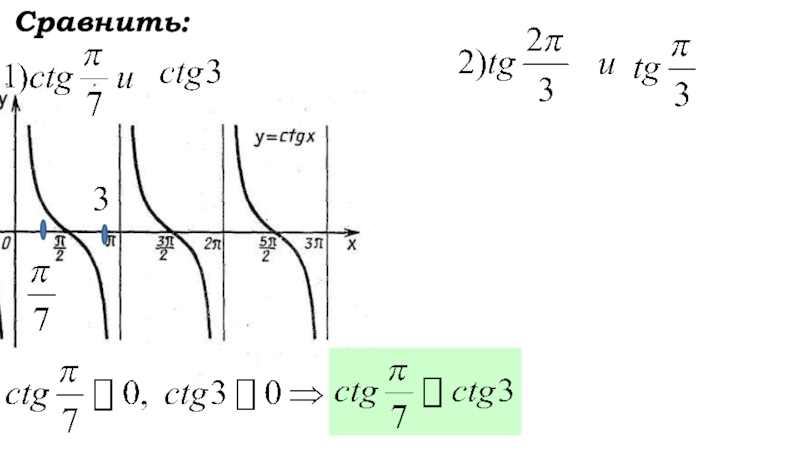
Слайд 18Стр.32, №79 (1,5)


Сравнить:

Стр.32, №79 (1,5) Сравнить:

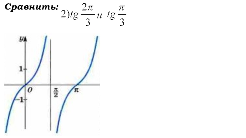
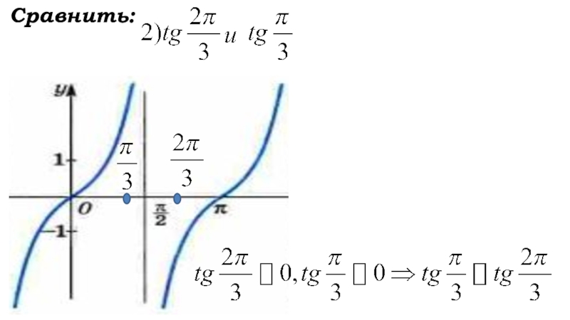
Слайд 19Стр.32, №79 (1,5)


Сравнить:
Функция на

возрастает
Стр.32, №79 (1,5) Сравнить:Функция      на      возрастает

Слайд 20Стр.32, №79 (1,5)

Сравнить:
Функция на

возрастает

Так как , то

Стр.32, №79 (1,5) Сравнить:Функция      на      возрастает Так

Слайд 21Стр.32, №79 (1,5)


Сравнить:


Отметьте на графике точки: 2 и 3

Стр.32, №79 (1,5) Сравнить:Отметьте на графике точки: 2 и 3

Слайд 22Стр.32, №79 (1,5)


Сравнить:
Какому интервалу принадлежат точки: 2 и 3?
Какой является

функция
на этом интервале?
Стр.32, №79 (1,5) Сравнить:Какому интервалу принадлежат точки: 2 и 3?Какой является функция на этом интервале?

Слайд 23Стр.32, №79 (1,5)


Сравнить:
Функция на

убывает
Стр.32, №79 (1,5) Сравнить:Функция       на      убывает

Слайд 24
Сравнить:

Сравнить:

Слайд 25
Сравнить:

Сравнить:

Слайд 26
Сравнить:

Сравнить:

Слайд 27
Сравнить:

Сравнить:

Слайд 28
Сравнить:

Сравнить:

Слайд 29
Решение тригонометрических уравнений и неравенств с использованием графика
Стр.17, №35(1,3)

Решение тригонометрических уравнений и неравенств с использованием графикаСтр.17, №35(1,3)

Слайд 38
Решение тригонометрических уравнений и неравенств с использованием графика
Стр.24, №58(2,4)

Решение тригонометрических уравнений и неравенств с использованием графикаСтр.24, №58(2,4)

Слайд 39Стр.24, №58(2,4)

Стр.24, №58(2,4)

Слайд 40Стр.24, №58(2,4)

Стр.24, №58(2,4)

Слайд 41Стр.24, №58(2,4)

Стр.24, №58(2,4)

Слайд 42Стр.23, №58(2,3)

Стр.23, №58(2,3)

Слайд 43Стр.24, №58(2,3)

Стр.24, №58(2,3)

Слайд 44Стр.24, №58(2,3)

Стр.24, №58(2,3)

Слайд 45Стр.24, №58(2,3)

Стр.24, №58(2,3)

Слайд 46
Решение тригонометрических уравнений и неравенств с использованием графика
Стр.32, №80(3)

Решение тригонометрических уравнений и неравенств с использованием графикаСтр.32, №80(3)

Слайд 47
Стр.32, №80(3)

Стр.32, №80(3)

Слайд 48
Стр.32, №80(3)

Стр.32, №80(3)

Слайд 49
Стр.32, №80(3)

Стр.32, №80(3)

Слайд 50Стр.17, №36(2)

Стр.17, №36(2)

Слайд 51Стр.17, №36(2)

Стр.17, №36(2)

Слайд 52Стр.17, №36(2)

Стр.17, №36(2)

Слайд 53Стр.24, №59(4)

Стр.24, №59(4)

Слайд 54Стр.24, №59(4)

Стр.24, №59(4)

Слайд 55Стр.24, №59(4)

Стр.24, №59(4)

Слайд 56
Стр.32, №81(2)

Стр.32, №81(2)

Слайд 57
Стр.32, №81(2)

Стр.32, №81(2)

Слайд 58
Стр.32, №81(2)

Стр.32, №81(2)

Слайд 59



«5»- все было понятно и задания выполнялись

без особого труда;

«4» – были трудные моменты, осталось еще раз разобрать задания, чтобы не было проблем в будущем;

«3»- остались непонятными некоторые задания из-за пробелов в знаниях. Следует поработать индивидуально.

Оцените
свое усвоение материала в классе

«5»- все было понятно и задания выполнялись без особого труда;«4» – были трудные

Слайд 60
1.Теория. Глава I, §5
(разобрать задачи

1,2 §3-5 )
Выучить свойства функций
Повторить значения тр. функций всех углов от 0 до 180

2.Практика. *Стр.17,24,32
№№35,36, 58,59,80,81
(1 задание на выбор)

ДР№5 на 17.09.18

1.Теория. Глава I, §5 (разобрать задачи 1,2 §3-5 )Выучить свойства функцийПовторить значения

Что такое shareslide.ru?

Это сайт презентаций, где можно хранить и обмениваться своими презентациями, докладами, проектами, шаблонами в формате PowerPoint с другими пользователями. Мы помогаем школьникам, студентам, учителям, преподавателям хранить и обмениваться учебными материалами.


Для правообладателей

Яндекс.Метрика

Обратная связь

Email: Нажмите что бы посмотреть