Презентация, доклад по математике на тему: Производная степенной функции, 11 класс

Содержание

Приветствую вас на уроке Девиз урока:Успешного усвоения учебного материалаГлавная сила математики состоит в том, что вместе с решением одной конкретной задачи она создаёт общие приёмы и способы, применимые во многих ситуациях, которые даже не всегда

Слайд 1 Урок разработан
учителем математики
МБОУ СШ №10 г.Павлово
Леонтьевой Светланой

Ивановной

Урок опубликован на сайте учителя: http://pavls1954.wixsite.com/1712

Урок алгебры и начал математического анализа в 11 классе

Урок разработан учителем математики МБОУ СШ №10 г.ПавловоЛеонтьевой Светланой ИвановнойУрок опубликован на сайте учителя:

Слайд 2Приветствую вас на уроке
Девиз урока:
Успешного усвоения учебного материала
Главная сила

математики состоит в том, что вместе с решением одной конкретной задачи она создаёт общие приёмы и способы, применимые во многих ситуациях, которые даже не всегда можно предвидеть.
Эрик Темпл Белл
Приветствую вас на уроке  Девиз урока:Успешного усвоения учебного материалаГлавная сила математики состоит в том, что вместе

Слайд 3
1.Теория. Глава II,§5
Выучить формулу

средней и мгновенной скорости, нахождения производной, правила дифференцирования

2.Практика. Стр.73, №35-44(2), 45(2)***

ДР№14 на 26.10.18

1.Теория. Глава II,§5  Выучить формулу средней и мгновенной скорости, нахождения производной,

Слайд 4
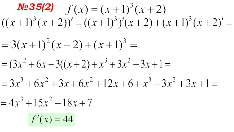
№35(2)

№35(2)

Слайд 5
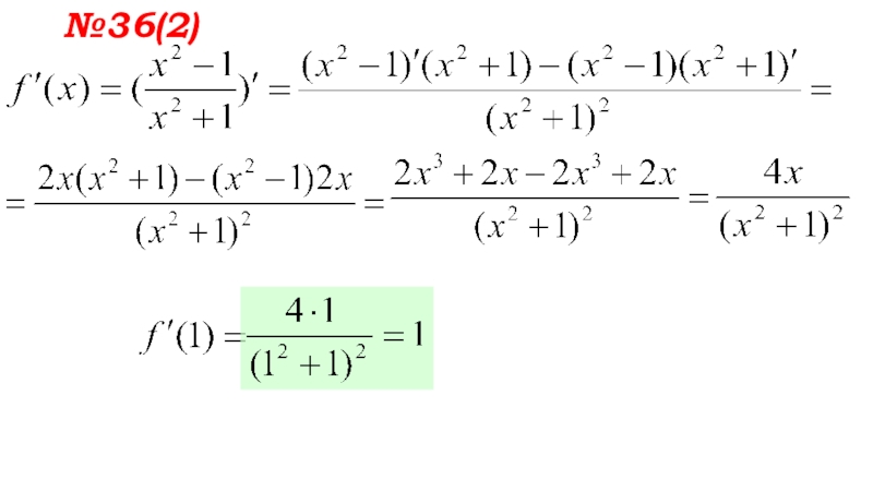
№36(2)

№36(2)

Слайд 6
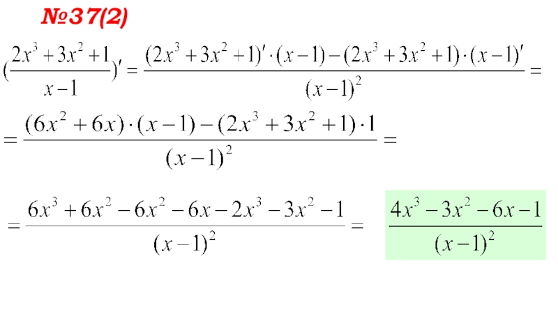
№37(2)

№37(2)

Слайд 7
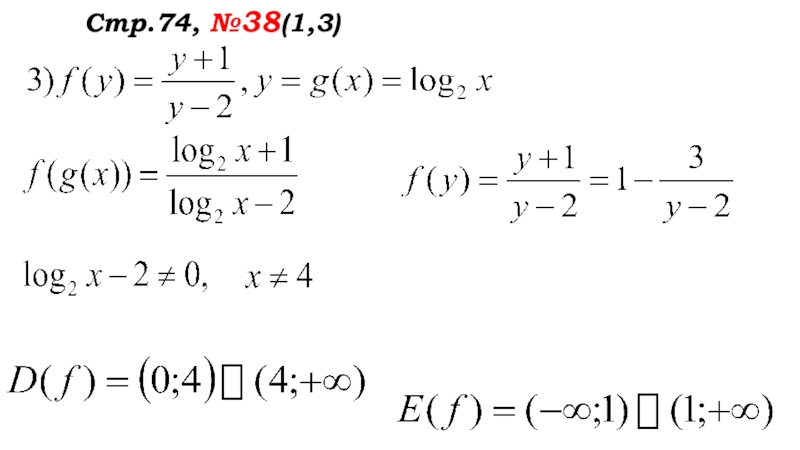
Стр.74, №38(2)

Стр.74, №38(2)

Слайд 8
Стр.74, №38(1,3)

Стр.74, №38(1,3)

Слайд 9
Стр.73, №39(2)
1 способ
2 способ

Стр.73, №39(2)1 способ2 способ

Слайд 10
Стр.73, №40(2)

Стр.73, №40(2)

Слайд 11
Стр.73, №41(2)

Стр.73, №41(2)

Слайд 12
Стр.73, №42(2)

Стр.73, №42(2)

Слайд 13
Стр.74, №43*(2)

Стр.74, №43*(2)

Слайд 14
Стр.74, №44*(2)

Стр.74, №44*(2)

Слайд 15
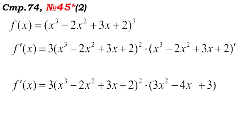
Стр.74, №45*(2)

Стр.74, №45*(2)

Слайд 16
Оцените выполнение ДР
Какое задание вызвало
наибольшее

затруднение?
Оцените выполнение ДРКакое задание вызвало наибольшее затруднение?

Слайд 17 25.10.18
Классная работа
Производная степенной функции.
Глава II. §6.

Уроки №31–32

25.10.18Классная работаПроизводная степенной функции.Глава II. §6.Уроки №31–32

Слайд 18Цели урока:
Рассмотреть формулы для нахождения производной степенной функции.
Продолжить формирование культуры

устной и письменной математической речи, умения оценивать уровень своих знаний по рассматриваемой теме.
Цели урока:Рассмотреть формулы для нахождения производной степенной функции. Продолжить формирование культуры устной и письменной математической речи, умения

Слайд 19
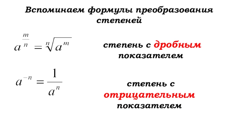
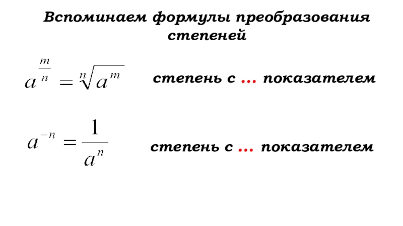
Вспоминаем формулы преобразования степеней

Вспоминаем формулы преобразования степеней

Слайд 20
Вспоминаем формулы преобразования степеней
степень с … показателем
степень с

… показателем
Вспоминаем формулы преобразования степеней степень с … показателем степень с … показателем

Слайд 21
Вспоминаем формулы преобразования степеней
степень с дробным показателем
степень с

отрицательным показателем
Вспоминаем формулы преобразования степеней степень с дробным показателем степень с отрицательным показателем

Слайд 22
Стр. 74, §6.
Формула нахождения производной степенной функции при любом

действительном показателе р.
Стр. 74, §6. Формула нахождения производной степенной функции при любом действительном показателе р.

Слайд 23
Стр. 76, №46(четные)

Стр. 76, №46(четные)

Слайд 24
Стр. 76, №46(четные)

Стр. 76, №46(четные)

Слайд 25
Стр. 76, №46(четные)
Прокомментируйте решение 4)

Стр. 76, №46(четные)Прокомментируйте решение 4)

Слайд 26
Стр. 76, №46(четные)

Стр. 76, №46(четные)

Слайд 27
Стр. 76, №46(четные)

Стр. 76, №46(четные)

Слайд 28
Стр. 76, №46(четные)

Стр. 76, №46(четные)

Слайд 29
Стр. 76, №46(четные)

Стр. 76, №46(четные)

Слайд 30
Стр. 76, №46(четные)

Стр. 76, №46(четные)

Слайд 31
Стр. 76, №47(четные)
Дайте рекомендации по решению

Стр. 76, №47(четные)Дайте рекомендации по решению

Слайд 32
Стр. 76, №47(четные)

Стр. 76, №47(четные)

Слайд 33
Стр. 76, №47(четные)

Стр. 76, №47(четные)

Слайд 34
Стр. 76, №47(четные)

Стр. 76, №47(четные)

Слайд 35
Стр. 76, №47(четные)

Стр. 76, №47(четные)

Слайд 36
Стр. 76, №47(четные)

Стр. 76, №47(четные)

Слайд 37
Стр. 76, №47(четные)

Стр. 76, №47(четные)

Слайд 38
Стр. 76, №47(четные)

Стр. 76, №47(четные)

Слайд 39
Стр. 76, №47(четные)

Стр. 76, №47(четные)

Слайд 40
Стр. 76, №47(четные)

Стр. 76, №47(четные)

Слайд 41
Стр. 76, №47(четные)

Стр. 76, №47(четные)

Слайд 42
Стр. 76, №47(четные)

Стр. 76, №47(четные)

Слайд 43
Стр. 76, №47(четные)

Стр. 76, №47(четные)

Слайд 44
Стр. 76, №47(четные)

Стр. 76, №47(четные)

Слайд 45
Стр. 76, №47(четные)

Стр. 76, №47(четные)

Слайд 46
Стр. 76, №47(четные)

Стр. 76, №47(четные)

Слайд 47
Стр. 76, №47(четные)

Стр. 76, №47(четные)

Слайд 48
Стр. 76, №47(четные)

Стр. 76, №47(четные)

Слайд 49
Стр. 76, №47(четные)

Стр. 76, №47(четные)

Слайд 50
Стр. 76, №47(четные)

Стр. 76, №47(четные)

Слайд 51
Стр. 76, №47(четные)

Стр. 76, №47(четные)

Слайд 52
Стр. 76, №47(четные)

Стр. 76, №47(четные)

Слайд 53
Стр. 76, №47(четные)

Стр. 76, №47(четные)

Слайд 54
Стр. 76, №47(четные)

Стр. 76, №47(четные)

Слайд 55
Стр. 76, №47(четные)

Стр. 76, №47(четные)

Слайд 56
Стр. 76, №47(четные)

Стр. 76, №47(четные)

Слайд 57
Стр. 76, №47(четные)

Стр. 76, №47(четные)

Слайд 58
Стр. 76, №48(четные)

Стр. 76, №48(четные)

Слайд 59
Стр. 76, №48(четные)

Стр. 76, №48(четные)

Слайд 60
Стр. 76, №48(четные)

Стр. 76, №48(четные)

Слайд 61
Стр. 76, №48(четные)

Стр. 76, №48(четные)

Слайд 62
Стр. 76, №48(четные)

Стр. 76, №48(четные)

Слайд 63
Стр. 76, №48(четные)

Стр. 76, №48(четные)

Слайд 64
Стр. 76, №48(четные)

Стр. 76, №48(четные)

Слайд 65
Стр. 76, №48(четные)

Стр. 76, №48(четные)

Слайд 66
Стр. 76, №48(четные)

Стр. 76, №48(четные)

Слайд 67
Стр. 76, №48(четные)

Стр. 76, №48(четные)

Слайд 68
Стр. 76, №48(четные)

Стр. 76, №48(четные)

Слайд 69
Стр. 76, №48(четные)

Стр. 76, №48(четные)

Слайд 70
Стр. 76, №48(четные)

Стр. 76, №48(четные)

Слайд 71
Стр. 76, №49(четные)

Стр. 76, №49(четные)

Слайд 72
Стр. 76, №49(четные)

Стр. 76, №49(четные)

Слайд 73
Стр. 76, №49(четные)

Стр. 76, №49(четные)

Слайд 74
Стр. 76, №49(четные)

Стр. 76, №49(четные)

Слайд 75
Стр. 76, №49(четные)

Стр. 76, №49(четные)

Слайд 76
Стр. 76, №49(четные)

Стр. 76, №49(четные)

Слайд 77
Стр. 76, №49(четные)

Стр. 76, №49(четные)

Слайд 78
Стр. 76, №49(четные)

Стр. 76, №49(четные)

Слайд 79
Стр. 76, №49(четные)

Стр. 76, №49(четные)

Слайд 80
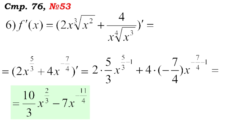
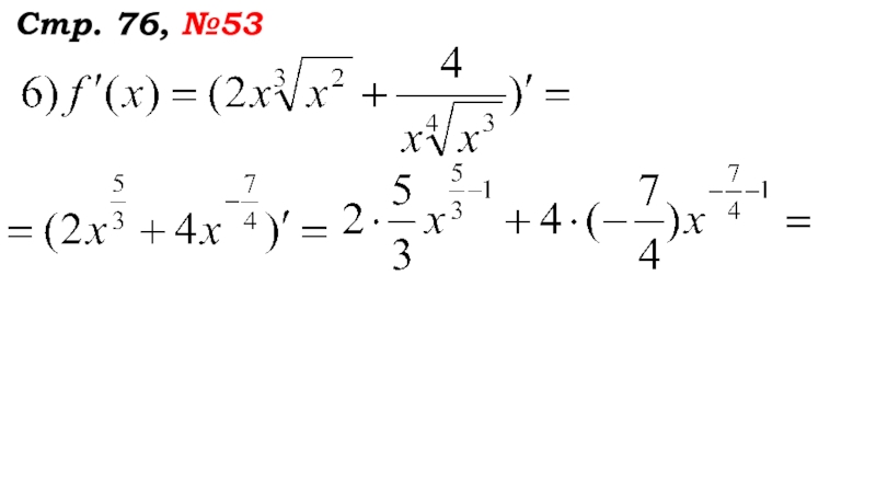
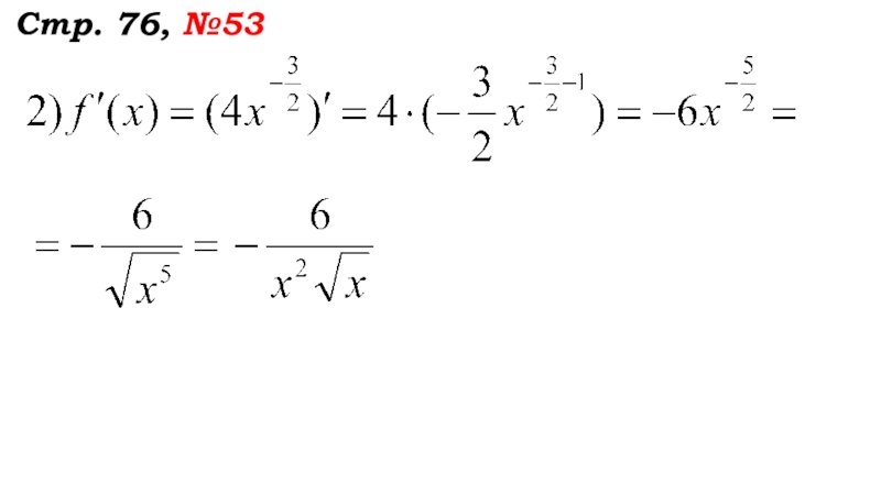
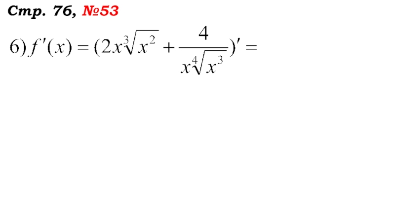
Стр. 76, №53

Стр. 76, №53

Слайд 81
Стр. 76, №53

Стр. 76, №53

Слайд 82
Стр. 76, №53

Стр. 76, №53

Слайд 83
Стр. 76, №53

Стр. 76, №53

Слайд 84
Стр. 76, №53

Стр. 76, №53

Слайд 85
Стр. 76, №53

Стр. 76, №53

Слайд 86
Стр. 76, №53
Замените все слагаемые степенями

Стр. 76, №53Замените все слагаемые степенями

Слайд 87
Стр. 76, №53
Примените свойства степеней

Стр. 76, №53Примените свойства степеней

Слайд 88
Стр. 76, №53
Примените правила дифференцирования

Стр. 76, №53Примените правила дифференцирования

Слайд 89
Стр. 76, №53

Стр. 76, №53

Слайд 90
Стр. 76, №53

Стр. 76, №53

Слайд 91
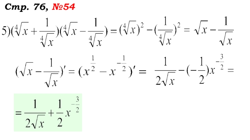
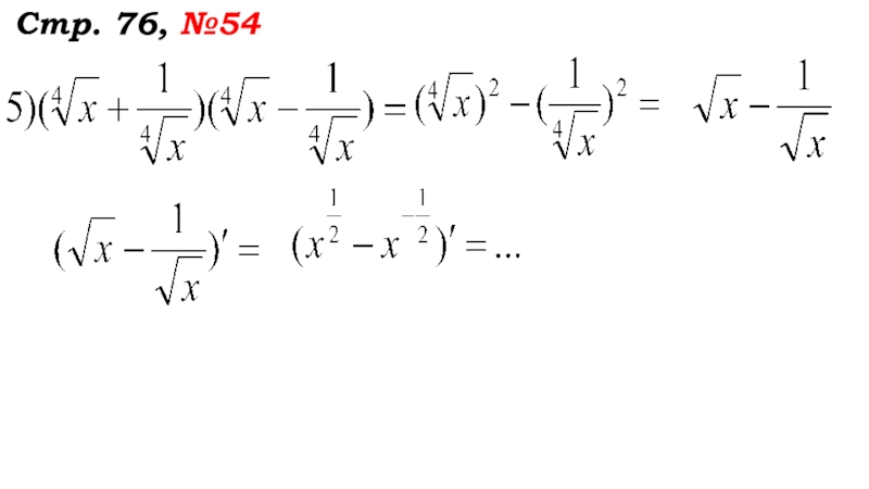
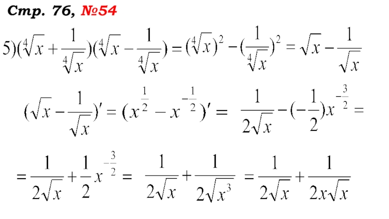
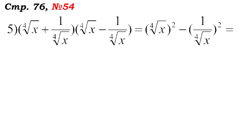
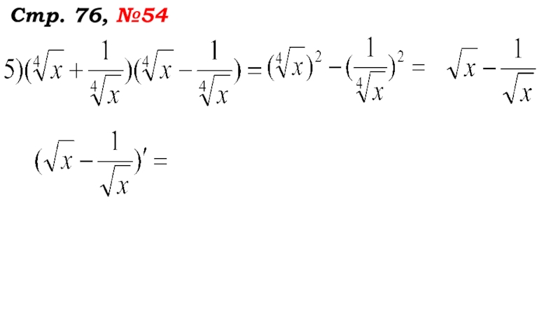
Стр. 76, №54
Предложите варианты выполнения задания

Стр. 76, №54Предложите варианты выполнения задания

Слайд 92
Стр. 76, №54
1. Выполняем умножение по формуле:…

Стр. 76, №541. Выполняем умножение по формуле:…

Слайд 93
Стр. 76, №54
1. Выполняем умножение по формуле разности квадратов
2. Находим

производную полученной функции
Стр. 76, №541. Выполняем умножение по формуле разности квадратов2. Находим производную полученной функции

Слайд 94
Стр. 76, №54

Стр. 76, №54

Слайд 95
Стр. 76, №54
Найдите производную функции

Стр. 76, №54Найдите производную функции

Слайд 96
Стр. 76, №54

Стр. 76, №54

Слайд 97
Стр. 76, №54

Стр. 76, №54

Слайд 98
Стр. 76, №54

Стр. 76, №54

Слайд 99
Стр. 76, №54

Стр. 76, №54

Слайд 100
1.Теория. Глава II,§6,7

Выучить таблицу

производных и правила дифференцирования
2.Практика. Стр.76-78, №№50-58(2)

ДР№16 на 10.11.18

СР

1.Теория. Глава II,§6,7  Выучить таблицу производных и правила дифференцирования2.Практика. Стр.76-78, №№50-58(2)

Слайд 101
Стр.73-74
по вариантам
№36(2,4)
№42(1;2)
№54(1,2)
№58(1,2)

Стр.73-74 по вариантам№36(2,4)№42(1;2)№54(1,2) №58(1,2)

Что такое shareslide.ru?

Это сайт презентаций, где можно хранить и обмениваться своими презентациями, докладами, проектами, шаблонами в формате PowerPoint с другими пользователями. Мы помогаем школьникам, студентам, учителям, преподавателям хранить и обмениваться учебными материалами.


Для правообладателей

Яндекс.Метрика

Обратная связь

Email: Нажмите что бы посмотреть