Презентация, доклад по математике на тему Логарифмическая функция, логарифмы, уравнения, неравенства

Содержание

Из истории логарифмов Немного об изобретателе логарифмов и создателе логарифмических таблиц. Джон Непер-шотландец. В 16 лет отправился на континент, где в течение 5 лет учился в различных университетах Европы, изучал математику.

Слайд 1Логарифмы и их свойства

Логарифмы и их свойства

Слайд 2Из истории логарифмов
Немного об изобретателе логарифмов и создателе логарифмических

таблиц.
Джон Непер-шотландец.
В 16 лет отправился на континент, где в течение 5 лет учился в различных университетах Европы, изучал математику.
Из истории логарифмов  Немного об изобретателе логарифмов и создателе логарифмических таблиц.  Джон Непер-шотландец.

Слайд 3 К идее логарифмических вычислений Непер пришел ещё

в 80-х годах 16 века, однако опубликовал свои таблицы только в 1614г.,после 25-летних вычислений.
Они вышли под названием "Описание чудесных логарифмических таблиц".
Неперу принадлежит и сам термин логарифм, который он переводит как "искусственное число".

К идее логарифмических вычислений Непер пришел ещё в 80-х годах 16 века, однако

Слайд 4Определение логарифма: Логарифмом числа b по основанию а называется показатель степени, в которую

нужно возвести основание а, чтобы получить число b. (т.е. logab = c, где ас = b)
где а>0, а≠1,b>0

Определение логарифма: Логарифмом числа b по основанию а называется показатель степени, в которую нужно возвести основание а,

Слайд 5пример
1.

т. к.

2. т. е.

3. т.к.
пример1.

Слайд 6Логарифм с основанием 10 называется десятичным логарифмом и обозначается

Логарифм с основанием 10 называется десятичным логарифмом и обозначается

Слайд 7Формула перехода от одного основания логарифма к другому:





где а>0, а≠1,b>0,b≠1,х>0

Формула перехода от одного основания логарифма к другому:

Слайд 8пример

пример

Слайд 9Основное логарифмическое тождество:





где а > 0, а ≠ 1, b>0


Основное логарифмическое тождество:

Слайд 10Примеры








Примеры

Слайд 11Вычислите:

Вычислите:

Слайд 12Ответы

2
3
-3
1/2
0


Ответы23-31/20

Слайд 13Свойства логарифмов
При любых а>0, а ≠ 1 и любых положительных х

и у выполняются равенства:











1) loga1 = 0

2) logaa = 1

Свойства логарифмовПри любых а>0, а ≠ 1 и любых положительных х и у выполняются равенства:1) loga1 =

Слайд 14Примеры
1.


2.

3.

4.




Примеры1.2.3.4.

Слайд 15Логарифмическая функция

Логарифмическая функция

Слайд 16Определение:
Функцию, заданную формулой
у = logaf(x) называют логарифмической
функцией с основанием а,

где а>0, а≠1,
Свойства логарифмической
функции:
D(loga) = R+
f(x) > 0
2. E(loga) = R
Определение: Функцию, заданную формулойу = logaf(x) называют логарифмическойфункцией с основанием а, где а>0, а≠1,Свойства логарифмическойфункции: D(loga) =

Слайд 17
Возрастает при а> 1
Убывает при 0

всей области определения
Возрастает при а> 1Убывает при 0

Слайд 184. Графики показательной и логарифмической функций, имеющих одинаковое основание, симметричны относительно

прямой у=х
4. Графики показательной и логарифмической функций, имеющих одинаковое основание, симметричны относительно прямой у=х

Слайд 19Примеры
Найти область определения функции:
1.
Область определения логарифмической функции- множество
Поэтому данная функция определена

для тех х, при которых
4 – 5х>0
-5x > -4
x< -4 :(-5)
x< 0,8
Ответ: ( -∞; 0,8)
ПримерыНайти область определения функции:1.Область определения логарифмической функции- множествоПоэтому данная функция определена для тех х, при которых

Слайд 202.










Корни данного квадратного трехчлена:


и



+ - +

-1 4

Ответ: (-∞; -1) и (4; +∞)





2. Корни данного квадратного трехчлена:

Слайд 21Найти область определения логарифма

Найти область определения логарифма

Слайд 22ответы
1) (-2;+∞)
2) (-∞;1,5)
3) (-∞;2) и (5;+∞)
4) (-∞;-5) и (5;+∞)
5) (0;3)
6) (2;5)


ответы1) (-2;+∞)2) (-∞;1,5)3) (-∞;2) и (5;+∞)4) (-∞;-5) и (5;+∞)5) (0;3)6) (2;5)

Слайд 23
Логарифмические уравнения

Логарифмические уравнения

Слайд 24Определение
Уравнение вида

Называется логарифмическим
(а > 0, а ≠ 1; х>0)

ОпределениеУравнение видаНазывается логарифмическим(а > 0, а ≠ 1; х>0)

Слайд 25Способы решения логарифмических уравнений:
1) по определению логарифма
2) методом приведения к одному


основанию
3) методом введения новой переменной
4) сворачиванием в один логарифм по
свойствам
5) Графический метод
Способы решения логарифмических уравнений: 1) по определению логарифма2) методом приведения к одному   основанию3) методом введения

Слайд 26При решении логарифмических уравнений помните!

Необходимо найти ОДЗ уравнения или сделать

проверку соответствия найденных корней ОДЗ данного уравнения.


При решении логарифмических уравнений помните! Необходимо найти ОДЗ уравнения или сделать проверку соответствия найденных корней ОДЗ данного

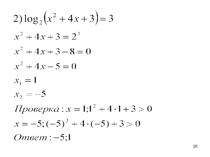
Слайд 27 Примеры: 1. По определению логарифма

Примеры: 1. По определению логарифма

Слайд 292. Метод приведения к одному основанию

2. Метод приведения к одному основанию

Слайд 303. Метод введения новой переменной

3. Метод введения новой переменной

Слайд 314. Сворачивание в один логарифм по свойствам

4. Сворачивание в один логарифм по свойствам

Слайд 325. Графический способ

5. Графический способ

Слайд 33Решить уравнение

Решить уравнение

Слайд 34Ответы:
1) х = 27
2) х = 10
3) х = 4
4) х

= 2
5) х = -1; х = 4
6) х = 0,1; х =1
Ответы:1) х = 272) х = 103) х = 44) х = 25) х = -1; х

Слайд 35Логарифмические неравенства

Логарифмические неравенства

Слайд 36Определение
Неравенства вида:



ОпределениеНеравенства вида:

Слайд 37Решение логарифмических неравенств
1) Если а>1, то

logaf(x) > logag(x) <=>


2) Если 0< а<1, то
logaf(x) > logag(x) <=>


Решение логарифмических неравенств 1) Если а>1, то    logaf(x) > logag(x)  2) Если 0<

Слайд 38Примеры:



Примеры:

Слайд 392.



т. к. основание , то данное

неравенство равносильно системе неравенств:







2.т. к. основание      , то данное неравенство равносильно системе неравенств:

Слайд 40Решить неравенство

Решить неравенство

Слайд 41Ответы

Ответы

Что такое shareslide.ru?

Это сайт презентаций, где можно хранить и обмениваться своими презентациями, докладами, проектами, шаблонами в формате PowerPoint с другими пользователями. Мы помогаем школьникам, студентам, учителям, преподавателям хранить и обмениваться учебными материалами.


Для правообладателей

Яндекс.Метрика

Обратная связь

Email: Нажмите что бы посмотреть