Презентация, доклад по математике на тему Комплексные числа

Содержание

1-6+5=0x1=1; x2=5Решите уравнение:х2-6х+5=0

Слайд 1Комплексные числа и арифметические операции над ними.

Комплексные числа и арифметические операции над ними.

Слайд 21-6+5=0
x1=1; x2=5

Решите уравнение:
х2-6х+5=0

1-6+5=0x1=1;  x2=5Решите уравнение:х2-6х+5=0

Слайд 3(2x+1)2=0
2x+1=0
x=-0,5


Решите уравнение:
4х2+4х+1=0

(2x+1)2=02x+1=0x=-0,5Решите уравнение:4х2+4х+1=0

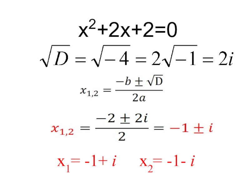
Слайд 4D=22-4∙1∙2= - 4
D< 0, корней нет
Решите уравнение:
х2+2х+2=0

D=22-4∙1∙2= - 4   D< 0, корней нетРешите уравнение:х2+2х+2=0

Слайд 6- комплексное число
- мнимая единица
= i
= 2i
Мнимая единица -
это такое число

i, квадрат которого равен -1

i2= -1

- комплексное число- мнимая единица= i= 2iМнимая единица -это такое число i, квадрат которого равен -1i2= -1

Слайд 7Мнимая единица
i – начальная буква французского слова

imaginaire – «мнимый»
Мнимая      единицаi – начальная буква французского слова imaginaire – «мнимый»

Слайд 8х2+2х+2=0


x2= -1- i
x1= -1+ i

х2+2х+2=0x2= -1- ix1= -1+ i

Слайд 9Например,

Вычислите:

Например,Вычислите:

Слайд 10Комплексные числа

Определение. Числа вида a + bi,

где a и b – действительные числа,
i – мнимая единица,
называются комплексными.

a - действительная часть ,
bi – мнимая часть,
b – коэффициент при мнимой части.

Комплексные числа Определение. Числа вида a + bi,    где a и b – действительные

Слайд 11VII в.н.э.-
квадратный корень из положительного числа имеет два значения – положительное

и отрицательное, а из отрицательных чисел квадратные корни извлечь нельзя: нет такого числа х, чтобы
х2 = -9.
VII в.н.э.-квадратный корень из положительного числа имеет два значения –  положительное и отрицательное,  а из

Слайд 12В XVI веке
в связи с изучением
кубических уравнений
оказалось необходимым
извлекать квадратные

корни
из отрицательных чисел.
Первым учёным,
предложившим ввести
числа новой природы,
был Джорж Кордано.
В XVI  векев связи с изучением кубических уравнений оказалось необходимымизвлекать квадратные корни из отрицательных чисел. Первым

Слайд 13Он предложил



Кордано назвал такие величины
“чисто отрицательными” или даже “софистически отрицательными”, считая их бесполезными и стремился не применять их.
Он предложил

Слайд 14в 1572
году
итальянский учёный
Бомбелли
выпустил книгу, в

которой были
установлены первые правила
арифметических операций над
комплексными числами,
вплоть до извлечения из них
кубических корней.
в 1572 году итальянский учёный Бомбелли выпустил книгу, в которой были установлены первые правила арифметических операций над

Слайд 15 Название “мнимые числа” ввёл французский математик

и философ Р. Декарт

в 1637
году

Название  “мнимые числа”  ввёл французский     математик и философ

Слайд 16 один из крупнейших математиков XVIII века – Л. Эйлер

предложил использовать первую букву французского слова imaginare (мнимый) для обозначения

в 1777
году

один из крупнейших  математиков   XVIII века –  Л. Эйлер   предложил

Слайд 17
гораздо
В настоящее время
в математике
шире,
комплексные числа
используются
действительные
чем

гораздоВ настоящее время   в математикешире,комплексные числаиспользуются действительные чем

Слайд 18Комплексные
числа имеют
прикладное значение
во многих областях науки, являются
основным

аппаратом
для расчетов
в электротехнике и связи.
Комплексные числа имеют прикладное значение во многих областях науки, являются основным аппаратом для расчетов в электротехнике и

Слайд 19Символический метод расчета цепей переменного тока
Изменение тока в емкости по синусоидальному

закону:
 i(t) = ImC sin(ωt + ψi)
Изменение тока в индуктивности по синусоидальному закону:
i(t) = ImL sin(ωt + ψi)
Уравнение связи между током и напряжением в индуктивности:
uL = L · di / dt



Символический метод расчета цепей переменного токаИзменение тока в емкости по синусоидальному закону: i(t) = ImC sin(ωt + ψi)Изменение

Слайд 20Методы операционного исчисления

- напряжение на конденсаторе;
(0) – начальное напряжение на конденсаторе, обусловленное тем, что конденсатор уже был ранее заряжен.
 

По второму закону Кирхгофа

Методы операционного исчисления        - напряжение на конденсаторе;   (0)

Слайд 21Переменный ток и бытовая техника
Все электропотребляющие устройства обладают активной и

реактивной нагрузкой.
Общая нагрузка описывается
как комплексное число:


S – полная мощность, φ - полярный угол.
Показатель cos(φ) является важным показателем работы энергосистемы и в бывшем СССР, а сегодня и в России по ГОСТ cos(φ) равен 0,8

Переменный ток и бытовая техника Все электропотребляющие устройства обладают активной и реактивной нагрузкой.Общая нагрузка описывается как комплексное

Слайд 22Применяются при конструировании ракет

и самолетов
Применяются     при  конструировании       ракет и

Слайд 23При вычерчивании географических карт

При вычерчивании географических карт

Слайд 24В исследовании

течения воды, а также во многих других науках.
В исследовании             течения воды,

Слайд 25=
=
=
·
·
·
1(-i )
1 1
1(-1)
·

===···1(-i )1 11(-1)·

Слайд 26Значения степеней числа i
повторяются с периодом,

равным 4.

Найдем:

Значения степеней числа i повторяются с периодом,        равным 4.Найдем:

Слайд 27 Решение.

i ,– 1, – i , 1 ,
ост. 1 2 3 без
Имеем, 28 = 4×7 (нет остатка);


33 = 4×8 + 1 ;


135 = 4×33 + 3 .
Соответственно получим
Решение.      i ,– 1, – i , 1 ,

Слайд 28Вычислите:
-1
-i
1
2-i
-1

Вычислите:-1-i 1 2-i -1

Слайд 29Определение.
z1 = a+bi z2

= c+di
Комплексные числа z1 и z2 называются равными тогда и только тогда, когда равны их действительные и мнимые части
a=c, b=d
Определение.  z1 = a+bi       z2 = c+diКомплексные числа z1 и

Слайд 30Решение. Согласно условию равенства комплексных чисел имеем 3y = 15, 5x

= – 7. Отсюда

Найти x и y из равенства: 3y + 5xi = 15 – 7i;

Пример .

Решение.  Согласно условию равенства комплексных чисел имеем  3y = 15, 5x = – 7.

Слайд 31 Действия над комплексными числами
Сложение
Вычитание
Умножение
Деление


Действия над комплексными числами СложениеВычитаниеУмножениеДеление

Слайд 32(а+bi)

Вычитание
=(a+c)
+
(c+di)
Сложение
(b+d)
+
i
(а+bi)
-
(c+di)
=(a-c)
+
(b-d)
i
Суммой

(разностью) двух комплексных чисел является комплексное число:
(а+bi)          Вычитание=(a+c)+(c+di)Сложение(b+d)+i(а+bi)-(c+di)=(a-c)+(b-d)iСуммой (разностью) двух комплексных чисел является комплексное

Слайд 33Выполните действия:
z1 = 2 + 3i

z2 = 5 – 7i.
Найти: а) z1 + z2;    б) z1 – z2;   

а) z1 + z2 =(2 + 3i) + (5 – 7i) =
=2 + 5 + 3i – 7i = 7 – 4i

б) z1 – z2 =(2 + 3i) – (5 – 7i) =
=2 + 3i - 5 +7i = – 3 + 10i

Решение.

Выполните действия:    z1 = 2 + 3i     z2 = 5

Слайд 34Выполните действия
Задание:
z1=2i-3
z2=3-4 i
z1 - z2=?
z1 + z2=?
z1+z2=(2i – 3)+(3 - 4i)=
=2i

-3+3- 4i=-2i

z1 - z2=(2i – 3) - (3 - 4i)=
=2i – 3 -3+ 4i=- 6+6i

Выполните действияЗадание:z1=2i-3z2=3-4 iz1 - z2=?z1 + z2=?z1+z2=(2i – 3)+(3 - 4i)==2i -3+3- 4i=-2iz1 - z2=(2i – 3)

Слайд 35Умножение
(c+di)
= ac

i
=
+
+
+
аd
bd
(а+bi)
i
=
=
(ac-bd)
+
(аd+bc)
i
i2
Произведением комплексных чисел является комплексное число:
= ac
аd

bd
=
+
+
-
i
i

Умножение(c+di)= acbсi=+++аdbd(а+bi)i==(ac-bd)+(аd+bc)ii2Произведением комплексных чисел является комплексное число:= acаdbсbd=++-ii

Слайд 36Выполните действия:
(5 + 3i)(5 – 3i)  
(2 + 3i)(5 –

7i)

(2 – 7i)2

=

=

=

=

=

31+i

25-9i2

=

34

4 - 28i + 49i2

=

-45-28i

Выполните действия: (5 + 3i)(5 – 3i)   (2 + 3i)(5 – 7i) (2 – 7i)2=====31+i 25-9i2 =

Слайд 38Выбрать комплексное число, сопряженное данному
Задание:

Выбрать комплексное число, сопряженное данномуЗадание:

Слайд 39( 6+5i)(6-5i)=
62 - (5i)2 = 62 - 52i2 = 62 +

52

Произведение сопряженных комплексных чисел равно сумме квадратов действительной части
и коэффициентов при i

(a+bi)(a-bi) = a2+b2

( 6+5i)(6-5i)=62 - (5i)2 = 62 - 52i2 = 62 + 52Произведение  сопряженных комплексных чисел равно

Слайд 40Для того, чтобы разделить два комплексных числа, нужно делимое и делитель

умножить на число, сопряженное делителю,т.е.

Деление

Для того, чтобы разделить два комплексных числа, нужно делимое и делитель умножить на число, сопряженное делителю,т.е.Деление

Слайд 41=
=
=
Выполните действия:
=
=

===Выполните действия:==

Слайд 42Выполните действиe
z1=2i-3
z2=3-4 i
z1 : z2=?
=
=

Выполните действиez1=2i-3z2=3-4 iz1 : z2=?==

Слайд 43Выполните действия:
=
=
=
2

Выполните действия:===2

Слайд 44Решить примеры.

2) Найти x и y из равенства:
(2x +

3y) + (x – y)i = 7 + 6i.

1) (i63+i17+i13+i82)(i72–i34);

3)

Решить примеры. 2) Найти x и y из равенства: (2x + 3y) + (x – y)i =

Слайд 45После изучения темы «Комплексные числа учащиеся должны:
Знать:
алгебраическую форму комплексного числа.
Уметь:
производить над

комплексными числами операции сложения, умножения, вычитания, деления, возведения в степень, извлечение корня из комплексного числа;
в простейших случаях находить комплексные корни уравнений с действительными коэффициентами.

После изучения темы «Комплексные числа учащиеся должны:Знать:алгебраическую форму комплексного числа.Уметь:производить над комплексными числами операции сложения, умножения, вычитания,

Что такое shareslide.ru?

Это сайт презентаций, где можно хранить и обмениваться своими презентациями, докладами, проектами, шаблонами в формате PowerPoint с другими пользователями. Мы помогаем школьникам, студентам, учителям, преподавателям хранить и обмениваться учебными материалами.


Для правообладателей

Яндекс.Метрика

Обратная связь

Email: Нажмите что бы посмотреть