Презентация, доклад по математике к уроку Метод подстановки

Ответьте на вопросы:1 вопрос: назовите этапы графического метода2 вопрос: назовите этапы метода подстановки.3 вопрос : перечислить недостатки графического метода решения систем

Слайд 17 класс
учебник А.Г. Мордкович

Метод подстановки

7 классучебник А.Г. МордковичМетод подстановки

Слайд 2Ответьте на вопросы:
1 вопрос: назовите этапы графического метода
2 вопрос: назовите этапы

метода подстановки.

3 вопрос : перечислить недостатки
графического метода решения систем

Ответьте на вопросы:1 вопрос: назовите этапы графического метода2 вопрос: назовите этапы метода подстановки.3 вопрос : перечислить недостатки

Слайд 3Устная работа.
Какая из данных пар чисел
(0;1),(-1;2),(3:3), (2;0), (5;-1) является решением

системы:

2) Из данных уравнений выразите одну из переменных:

а) х+6у=7

б) х-3у=1

в) 5х+у=2

г) 2х+8у=0

Устная работа.Какая из данных пар чисел (0;1),(-1;2),(3:3), (2;0), (5;-1) является решением системы:2) Из данных уравнений выразите одну

Слайд 7Цели урока:
умения решать системы уравнений способом подстановки,
уметь решать комбинированные

задачи с использованием алгоритма решения систем уравнений.
выбирать способ решения систем уравнений в зависимости от условий
Цели урока: умения решать системы уравнений способом подстановки, уметь решать комбинированные задачи с использованием алгоритма решения систем

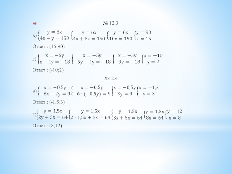
Слайд 8У доски (б, в)
12.15-12.18

индивидуально.
12.20-12.21 (а, б, в)

У доски (б, в)12.15-12.18индивидуально.12.20-12.21 (а, б, в)

Слайд 10Чему сегодня научились на уроке?


Что понравилось на уроке?

Чему сегодня научились на уроке? Что понравилось на уроке?

Слайд 11дом задание: выполнить задания
№ 128-129(г), 12.10.(г)

дом задание: выполнить задания № 128-129(г), 12.10.(г)

Слайд 12На листе ватмана нарисовать смайлик

Если все было на уроке понятно, то

улыбающийся

Если остались непонятые вопросы, то нет.

На листе ватмана нарисовать смайликЕсли все было на уроке понятно, то улыбающийсяЕсли остались непонятые вопросы, то нет.

Что такое shareslide.ru?

Это сайт презентаций, где можно хранить и обмениваться своими презентациями, докладами, проектами, шаблонами в формате PowerPoint с другими пользователями. Мы помогаем школьникам, студентам, учителям, преподавателям хранить и обмениваться учебными материалами.


Для правообладателей

Яндекс.Метрика

Обратная связь

Email: Нажмите что бы посмотреть