Презентация, доклад по математике А-8_У-30_Квадратный корень из произведения и дроби

Квадратный корень из произведения и дроби.Домашнее задание:§ 14, № 16(б,в); 19(г); 22(в,г); 24(а,б);25(б,в); 29(г); 30(б). Проверка домашнего задания.№ 2, 3, 5.№ 7, 10, 12.

Слайд 1 Желающие получить презентацию пишите по адресу на Е-майл: gas-50@mail.ru.

Автор - Гаврилов Александр Сергеевич. Преподавание ведется по учебнику А.Г.Мордковича. Использовался материал: Алгебра. 9 класс. Поурочные планы по учебнику Мордковича А.Г. и др.
Стоимость презентации 10 рублей. Деньги переводить на карту VISA Classic, сбербанк 8611/7770, номер карты: 40817810710000878844/50 RUR или на Яндекс-деньги № кошелька 410013674405763.
Наличие материала в презентациях предостаточно. Часть из него выносим на факультативные занятия, часть на дополнительные занятия.
Список имеющихся презентаций выложен на сайте http://infourok.ru/user/gavrilov-aleksandr-sergeevich в файле Список презентаций.doc. Правда я постоянно его пополняю. Желаю успехов в работе.
С уважением Гаврилов А.С.
Желающие получить презентацию пишите по адресу на Е-майл: gas-50@mail.ru. Автор - Гаврилов Александр Сергеевич. Преподавание

Слайд 2Квадратный корень из произведения и дроби.
Домашнее задание:
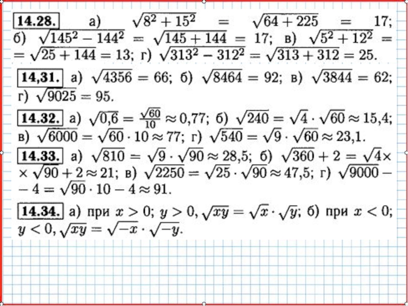
§ 14, № 16(б,в); 19(г);

22(в,г); 24(а,б);
25(б,в); 29(г); 30(б).

Проверка домашнего задания.

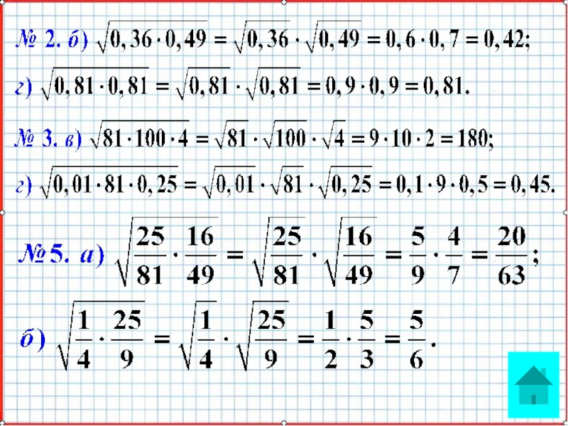
№ 2, 3, 5.

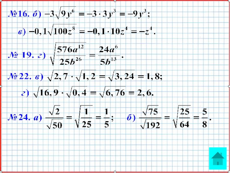
№ 7, 10, 12.

Квадратный корень  из произведения и дроби.Домашнее задание:§ 14, № 16(б,в); 19(г); 22(в,г); 24(а,б);25(б,в); 29(г); 30(б). Проверка

Слайд 4Устно:

Устно:

Слайд 5Повторим.

Повторим.

Слайд 6Формирование умений и навыков.
1. Вычислите, представив подкоренное выражение в виде произведения

таких множителей, из которых извлекается корень.

2. Вычислите:

Формирование умений и навыков.1. Вычислите, представив подкоренное выражение в виде произведения таких множителей, из которых извлекается корень.2.

Слайд 8Практическая часть урока.
§ 14, № 16(а,г); 19(б), 22(а,б); 24(в,г); 25(а,г);

29(в); 30(г).
Практическая часть урока. § 14, № 16(а,г); 19(б), 22(а,б); 24(в,г); 25(а,г); 29(в); 30(г).

Слайд 11Дополнительные задания.

Дополнительные задания.

Слайд 13Спасибо за урок!

Спасибо за урок!

Слайд 14Алгебра. 8 класс. Поурочные планы по учебнику
Мордковича А.Г. и др.
Пособие предлагает

полный комплект поурочных планов по алгебре для 8 класса общеобразовательных учреждений.
Составлено для учебно-методического комплекта А.Г. Мордковича и др. (М.: Мнемозина). Издание содержит все, что необходимо для качественной подготовки к урокам: подробные поурочные планы, методические советы и рекомендации, творческие задания, самостоятельные, контрольные и зачетные работы с подробным разбором.
Алгебра. 8 класс. Поурочные планы по учебникуМордковича А.Г. и др.Пособие предлагает полный комплект поурочных планов по алгебре

Слайд 17
Карточка 1.

Карточка 1.

Что такое shareslide.ru?

Это сайт презентаций, где можно хранить и обмениваться своими презентациями, докладами, проектами, шаблонами в формате PowerPoint с другими пользователями. Мы помогаем школьникам, студентам, учителям, преподавателям хранить и обмениваться учебными материалами.


Для правообладателей

Яндекс.Метрика

Обратная связь

Email: Нажмите что бы посмотреть