Презентация, доклад по геометрии 11 класс Простейшие задачи в координатах

Содержание

  Из точки А(6; 8) опу­щены пер­пен­ди­ку­ляры на ось абс­цисс, ординат. 1) Най­ди­те абс­цис­су ос­но­ва­ния пер­пен­ди­ку­ля­ра. 2) Най­ди­те ор­ди­на­ту ее точки пе­ре­се­че­ния с осью Oy. Готовимся к ЕГЭ.(базовый)68

Слайд 1Простейшие задачи
в координатах

Простейшие задачив координатах

Слайд 2  Из точки А(6; 8) опу­щены пер­пен­ди­ку­ляры на ось абс­цисс, ординат.
1)

Най­ди­те абс­цис­су ос­но­ва­ния пер­пен­ди­ку­ля­ра.
2) Най­ди­те ор­ди­на­ту ее точки пе­ре­се­че­ния с осью Oy.

Готовимся к ЕГЭ.(базовый)

6

8

  Из точки А(6; 8) опу­щены пер­пен­ди­ку­ляры на ось абс­цисс, ординат. 1) Най­ди­те абс­цис­су ос­но­ва­ния пер­пен­ди­ку­ля­ра. 2) Най­ди­те

Слайд 33) Най­ди­те рас­сто­я­ние от точки A с ко­ор­ди­на­та­ми (6; 8) до оси абс­цисс.
4)

Най­ди­те рас­сто­я­ние от точки A с ко­ор­ди­на­та­ми (6; 8) до оси ор­ди­нат
3) Най­ди­те рас­сто­я­ние от точки A с ко­ор­ди­на­та­ми (6; 8) до оси абс­цисс.4) Най­ди­те рас­сто­я­ние от точки A с ко­ор­ди­на­та­ми (6;

Слайд 45) Най­ди­те абс­цис­су точки, сим­мет­рич­ной точке A(6; 8) от­но­си­тель­но оси Oy.
В(-6; 8)
Ответ: -6

5) Най­ди­те абс­цис­су точки, сим­мет­рич­ной точке A(6; 8) от­но­си­тель­но оси Oy.В(-6; 8)Ответ: -6

Слайд 56) Най­ди­те ор­ди­на­ту точки, сим­мет­рич­ной точке A(6; 8) от­но­си­тель­но оси Ox.
Ответ: -8

6) Най­ди­те ор­ди­на­ту точки, сим­мет­рич­ной точке A(6; 8) от­но­си­тель­но оси Ox.Ответ: -8

Слайд 67) Най­ди­те ор­ди­на­ту точки, сим­мет­рич­ной точке A(6; 8) от­но­си­тель­но на­ча­ла ко­ор­ди­нат.
В(-6; -

8)

Ответ: -8

7) Най­ди­те ор­ди­на­ту точки, сим­мет­рич­ной точке A(6; 8) от­но­си­тель­но на­ча­ла ко­ор­ди­нат.В(-6; - 8)Ответ: -8

Слайд 7Вычисление координат середины отрезка.
Вычисление длины отрезка по его координатам.
Сегодня на уроке:
Вычисление

расстояния между двумя точками.
Вычисление координат середины отрезка.Вычисление длины отрезка по его координатам.Сегодня на уроке:Вычисление расстояния между двумя точками.

Слайд 81. Определение координат середины отрезка
Каждая координата середины отрезка
равна полусумме
соответствующих координат его

концов.
1. Определение координат середины отрезкаКаждая координата середины отрезкаравна полусуммесоответствующих координат его концов.

Слайд 9Най­ди­те абс­цис­су се­ре­ди­ны от­рез­ка, со­еди­ня­ю­ще­го точки O(0, 0) и A(6, 8).
Най­ди­те ор­ди­на­ту

се­ре­ди­ны от­рез­ка, со­еди­ня­ю­ще­го точки O(0; 0) и A (6; 8)

Ответ: 4
Ответ: 3

Най­ди­те абс­цис­су се­ре­ди­ны от­рез­ка, со­еди­ня­ю­ще­го точки O(0, 0) и A(6, 8).Най­ди­те ор­ди­на­ту се­ре­ди­ны от­рез­ка, со­еди­ня­ю­ще­го точки O(0; 0) и A (6;

Слайд 10Най­ди­те абс­цис­су се­ре­ди­ны от­рез­ка, со­еди­ня­ю­ще­го точки A(6; 8) и B(-2; 2).
Най­ди­те ор­ди­на­ту се­ре­ди­ны

от­рез­ка, со­еди­ня­ю­ще­го точки A(6, 8) и B(-2, 2).
Най­ди­те абс­цис­су се­ре­ди­ны от­рез­ка, со­еди­ня­ю­ще­го точки A(6; 8) и B(-2; 2).Най­ди­те ор­ди­на­ту се­ре­ди­ны от­рез­ка, со­еди­ня­ю­ще­го точки A(6, 8) и B(-2,

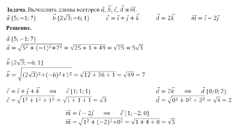
Слайд 122. Вычисление длины вектора по его координатам

2. Вычисление длины вектора по его координатам

Слайд 13 Най­ди­те рас­сто­я­ние от точки A с ко­ор­ди­на­та­ми (6; 8) до на­ча­ла ко­ор­ди­нат.

Най­ди­те рас­сто­я­ние от точки A с ко­ор­ди­на­та­ми (6; 8) до на­ча­ла ко­ор­ди­нат.

Слайд 14Най­ди­те длину от­рез­ка, со­еди­ня­ю­ще­го точки
A(6; 8) и В(−2; 2)

Най­ди­те длину от­рез­ка, со­еди­ня­ю­ще­го точки A(6; 8) и В(−2; 2)

Слайд 15Решение.

Решение.

Слайд 16Решение.

Решение.

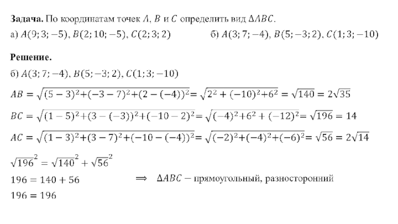
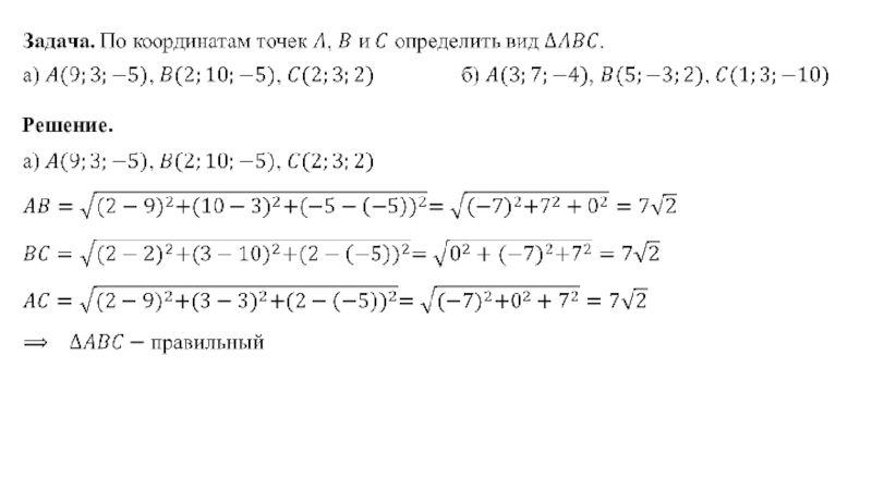
Слайд 173. Определение расстояния между двумя точками

3. Определение расстояния между двумя точками

Слайд 18Решение.

Решение.

Слайд 19Решение.

Решение.

Слайд 20Решение.

Решение.

Слайд 22Домашнее задание:

№426, 424( а)

Домашнее задание: №426, 424( а)

Что такое shareslide.ru?

Это сайт презентаций, где можно хранить и обмениваться своими презентациями, докладами, проектами, шаблонами в формате PowerPoint с другими пользователями. Мы помогаем школьникам, студентам, учителям, преподавателям хранить и обмениваться учебными материалами.


Для правообладателей

Яндекс.Метрика

Обратная связь

Email: Нажмите что бы посмотреть