Презентация, доклад по алгебре Степень с целым показателем (9 класс)

«Пусть кто-нибудь попробует вычеркнуть из математики степени, и он увидит, что без них далеко не уедешь»

Слайд 1Степень с целым показателем


Учитель математики
МБОУ «Первотаровская СОШ»
Искакова А.Н.

Степень с целым показателемУчитель математики МБОУ «Первотаровская СОШ»Искакова А.Н.

Слайд 2«Пусть кто-нибудь попробует вычеркнуть из математики степени, и он увидит, что

без них далеко не уедешь»

М.В.Ломоносов

«Пусть кто-нибудь попробует вычеркнуть из математики степени, и он увидит, что без них

Слайд 3
1)-3 -8 =

6) 8-(-7)=

2)-7+5 = 7)-4-5∙(-3)=

3)-3∙2+16= 8) -6+9=

4)-6-(-10)= 9)-8+22=

5) -14-6=
1)-3 -8 =     6) 8-(-7)= 2)-7+5 =

Слайд 4
1)-3 -8 = -11 6)8-(-7)= 15

2)-7+5

= -2 7)-4-5∙(-3)=11

3)-3 ∙ 2+16=10 8)-6+9=3

4)-6-(-10)= 4 9)-8+22=14

5)-14-6=-20

1)-3 -8 = -11   6)8-(-7)= 15 2)-7+5 = -2    7)-4-5∙(-3)=11

Слайд 5 СТЕПЕНЬ

СТЕПЕНЬ

Слайд 6 Степенью числа а с натуральным показателем n, называется произведение

n множителей, каждый из которых равен а:
Степенью числа а с натуральным показателем n, называется произведение n множителей, каждый из которых равен

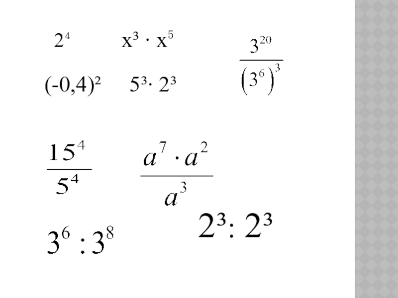
Слайд 7 2⁴ х³ ∙ х⁵


(-0,4)² 5³∙ 2³


2³: 2³
2⁴     х³ ∙ х⁵

Слайд 8 Степень с целым

показателем

Познакомиться с понятием степень с целым отрицательным показателем и нулевым показателем
Применить определение степени с целым показателем и её свойства для вычисления и упрощения выражений, содержащих степень с целым показателем.

Степень с целым        показателемПознакомиться с понятием степень

Слайд 91 парта решить выражение
2 парта решить выражение
2³: 2³

1 парта решить выражение2 парта решить выражение2³: 2³

Слайд 10 Вывод:

Вывод:

Слайд 13Штифель
Михаэль Штифель -немецкий математик, который опубликовал несколько научных трудов, и среди

них знаменитый - "Полная арифметика".
Он ввёл термин «показатель степени».
ШтифельМихаэль Штифель -немецкий математик, который опубликовал несколько научных трудов, и среди них знаменитый -

Слайд 14 РЕФЛЕКСИЯ
- Что нового узнали на уроке?
- Дайте определение

степени с отрицательным показателем.
-Чему равно любое число со степенью с нулевым показателем?
Что вызвало затруднения и
почему?
РЕФЛЕКСИЯ- Что нового узнали на уроке?- Дайте определение степени с отрицательным показателем.-Чему равно любое

Слайд 15Домашнее задание:
№ 66(2,4,6) №67; № 69

( по желанию)
Домашнее  задание:№ 66(2,4,6) №67; № 69        ( по желанию)

Что такое shareslide.ru?

Это сайт презентаций, где можно хранить и обмениваться своими презентациями, докладами, проектами, шаблонами в формате PowerPoint с другими пользователями. Мы помогаем школьникам, студентам, учителям, преподавателям хранить и обмениваться учебными материалами.


Для правообладателей

Яндекс.Метрика

Обратная связь

Email: Нажмите что бы посмотреть