Презентация, доклад по алгебре на тему Решение рациональных неравенств

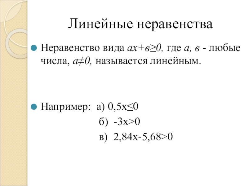
Линейные неравенстваНеравенство вида ах+в≥0, где а, в - любые числа, а≠0, называется линейным.Например: а) 0,5х≤0 б) -3х>0

Слайд 1Решение рациональных неравенств 9 класс

Подготовила:
учитель математики
Кутоманова Е.М.
2015-2016 учебный год
Муниципальное бюджетное общеобразовательное

учреждение средняя общеобразовательная школа №30 имени А.И.Колдунова

Решение рациональных неравенств 9 класс Подготовила:учитель математикиКутоманова Е.М.2015-2016 учебный годМуниципальное бюджетное общеобразовательное учреждение средняя общеобразовательная школа №30

Слайд 2Линейные неравенства
Неравенство вида ах+в≥0, где а, в - любые числа, а≠0,

называется линейным.


Например: а) 0,5х≤0
б) -3х>0
в) 2,84х-5,68>0

Линейные неравенстваНеравенство вида ах+в≥0, где а, в - любые числа, а≠0, называется линейным.Например: а) 0,5х≤0

Слайд 3Свойства неравенств:
1.Из любой части неравенства можно переносить в другую любое слагаемое

с противоположным знаком, не меняя при этом знак неравенства.

Например:
3х+6<-х+13
3х+х<-6+13


Свойства неравенств:1.Из любой части неравенства можно переносить в другую любое слагаемое с противоположным знаком, не меняя при

Слайд 4 2.Обе части неравенства можно умножить или разделить на одно

и то же положительное число не меняя при этом знак неравенства.
Например:
а) 3х>9
3х:3>9:3
х>3

б) 0,5х<0,25
2·0,5х<2·0,25
х<0,5

2.Обе части неравенства можно умножить 	или разделить на одно и то 	же 	положительное число не

Слайд 5
3.Обе части неравенства можно умножить или разделить на одно

и то же отрицательное число, изменив при этом знак неравенства на противоположный.
Например:
а) -4х≤2
-4х:(-4)≥2:(-4)
х≥-0,5
б) -0,3х<-6
-0,3х:(-0,3)>-6:(-0,3)
х>20
3.Обе части неравенства можно умножить 	  или разделить на одно и то же

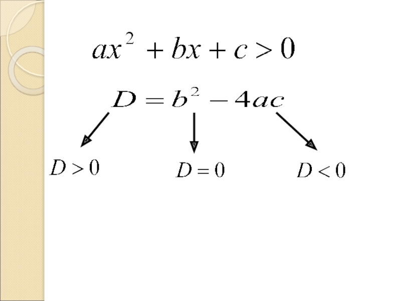
Слайд 6 Квадратные неравенства
Неравенство вида ах²+вх+с

2х²≥0
б) -4х²+8<0
в) 2х-х²≤0
г) 14х+5>3х²
Квадратные неравенства	Неравенство вида ах²+вх+с

Слайд 7
Чтобы решить квадратное неравенство методом парабол, надо:


1. рассмотреть функцию у=ах²+вх+с, определить направление ветвей параболы;
2. решить квадратное уравнение ах²+вх+с=0;
3. схематически построить параболу, учитывая направление ветвей и точки пересечения с осью Ох;
4. учитывая знак неравенства, выбрать нужные промежутки и записать ответ.
Чтобы решить квадратное неравенство 	методом парабол, надо:

Слайд 12 1.Решить неравенство: -х²+7х-12≥0
Рассмотрим функцию у=-х²+7х-12
Коэффициент а=-1,значит ветви параболы направлены вниз.
Решим уравнение -х²+7х-12=0

D=49-48=1
х₁=(-7+1):(-2); х₂=(-7-1):(-2)
х₁=3; х₂= 4

х



3


4




1.Решить неравенство: 	-х²+7х-12≥0	Рассмотрим функцию у=-х²+7х-12	Коэффициент а=-1,значит ветви параболы направлены вниз.	Решим уравнение -х²+7х-12=0

Слайд 132.Решим неравенство х²-4>0
у=х²-4,
а=1- ветви параболы направлены вверх;
х²-4=0
х²=4
х=±2
Строим

параболу (схематично)


х


-2

2




2.Решим неравенство х²-4>0	у=х²-4, 	а=1- ветви параболы направлены вверх;	х²-4=0  х²=4  х=±2	Строим параболу (схематично)х-22

Что такое shareslide.ru?

Это сайт презентаций, где можно хранить и обмениваться своими презентациями, докладами, проектами, шаблонами в формате PowerPoint с другими пользователями. Мы помогаем школьникам, студентам, учителям, преподавателям хранить и обмениваться учебными материалами.


Для правообладателей

Яндекс.Метрика

Обратная связь

Email: Нажмите что бы посмотреть