Презентация, доклад по алгебре на тему формулы сокращенного умножения2

Урок обобщения знаний по теме: «Формулы сокращённого умножения»( урок с использованием технологии УДЕ) 7 класс

Слайд 1У математиков существует свой язык – язык формул.

С.В. Ковалевская
У математиков существует свой язык – язык формул.    С.В. Ковалевская

Слайд 2Урок обобщения знаний по теме: «Формулы сокращённого умножения»
( урок с использованием

технологии УДЕ) 7 класс
Урок обобщения знаний по теме:   «Формулы сокращённого умножения»( урок с использованием технологии УДЕ) 7 класс

Слайд 3Цели урока: 1. Уметь применять формулы ФСУ как “слева направо”, так и

“справа налево” 2. Закрепить умения и навыки применения формул сокращённого умножения. План урока:
1. Организационный момент. 2. Устная работа. 3. Актуализация опорных знаний. 4. Решение примеров.
5. Физкультминутка.
Самостоятельная работа.
7. Математический фокус. 8. Подведение итогов урока. 9. Домашнее задание.
Цели урока:  1. Уметь применять формулы ФСУ как “слева направо”, так и “справа налево”  2.

Слайд 4Устная работа:
Выполните возведение в степень:

а) (-2х)2 б) (5а2)2

в) (-3у2)3 г) (0,2n4m5)3



2. Представьте в виде квадрата или куба одночлена:

а) 81a4 =

(9a2)2

б) 0,64x8 =

(0,8x4)2

в) -8c9 =

(-2c3)3

г)

x8 =

(

(x4)2

д) 0,001b12 =

(0,1b4)3

Устная работа:Выполните возведение в степень:а) (-2х)2   б) (5а2)2  в) (-3у2)3   г) (0,2n4m5)32.

Слайд 51. (в - у)² = в – 2ву + у²

2. 49 – с² = (49 - с)(49 + с)
3. (х - 10)² = х² – 20х + 10
4. (2а + 1)² = 4а² + 2а + 1

6. 81 – в² = (в - 9)(9 + в)
7. (х + у) = х² - 2ху + у²

Найди ошибку:

5. 64 + х² = (8 - х)(8 + х)

1. (в - у)² = в – 2ву + у²   2. 49 – с² =

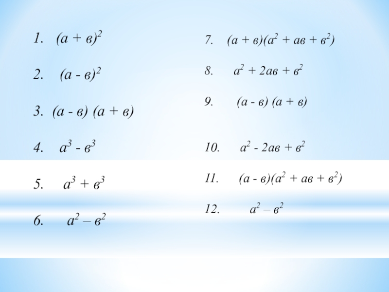
Слайд 61. (а + в)2

2. (а - в)2

3. (а -

в) (а + в)

4. а3 - в3

5. а3 + в3

6. а2 – в2

7. (а + в)(а2 + ав + в2)

8. а2 + 2ав + в2

9. (а - в) (а + в)


10. а2 - 2ав + в2

11. (а - в)(а2 + ав + в2)

12. а2 – в2

1.  (а + в)22.  (а - в)23. (а - в) (а + в)4.  а3

Слайд 7Квадрат суммы и разности двух выражений:


Разность квадратов:

Сумма и разность кубов:


Квадрат суммы и разности двух выражений:Разность квадратов:Сумма и разность кубов:

Слайд 8Восстановите пропущенные выражения
а) 25-10b2+b4 =( -

)∙( - )=( - )2
25±10b2+b4 =( ± )2

б) +14е +е2 = 72+2∙ ∙е +е2
( - )2= 49 - +е2
( ± )2 =49±14е +е2

Выполните сокращение дробей, запишите пропущенные выражения; проверьте ответ умножением многочленов:
















а) 25+ 10а+а2 = =
5+а

б) 25 - 10а+а2 = =
5-а








Восстановите пропущенные выражения	а) 25-10b2+b4 =(     -   )∙(   -

Слайд 9Решите уравнение:
Упростите выражение и выберете верный ответ:





Вычислите значение выражения:


(у+3)(у2-3у + 9) – у(у2 – 4), при у = 497



(х - 4)2 +52 = (х-2)(х+2)

Решите уравнение: Упростите выражение и выберете верный ответ: Вычислите значение выражения:

Слайд 11Игра “Алгебраическая мозаика”
Составить из предложенных выражений формулы. Кто больше?

3х, 5у,

3х2, 5у, 9х2, 30ху, 27х3,

125y2, 15ху; 25y2
Игра “Алгебраическая мозаика”Составить из предложенных выражений формулы. Кто больше?3х,  5у,  3х2,  5у,  9х2,

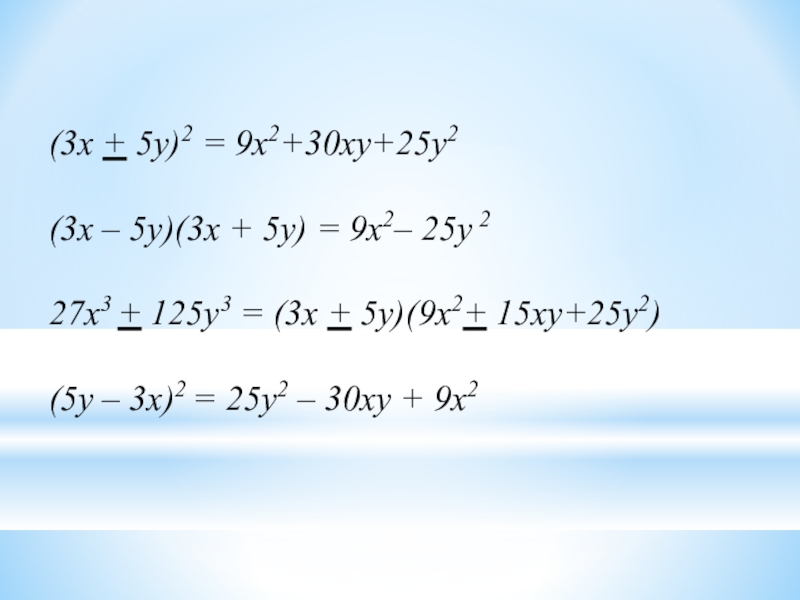
Слайд 12(3х + 5у)2 = 9х2+30ху+25у2

(3х – 5у)(3х + 5у) =

9х2– 25у 2

27х3 + 125у3 = (3х + 5у)(9х2+ 15ху+25у2)

(5у – 3х)2 = 25у2 – 30ху + 9х2

(3х + 5у)2 = 9х2+30ху+25у2 (3х – 5у)(3х + 5у) = 9х2– 25у 2 27х3 + 125у3

Слайд 13У математиков существует свой язык – язык формул.

С.В. Ковалевская
У математиков существует свой язык – язык формул.    С.В. Ковалевская

Слайд 14Замените * одночленом так, чтобы получившееся равенство было тождеством

Замените * одночленом так, чтобы получившееся равенство было тождеством

Что такое shareslide.ru?

Это сайт презентаций, где можно хранить и обмениваться своими презентациями, докладами, проектами, шаблонами в формате PowerPoint с другими пользователями. Мы помогаем школьникам, студентам, учителям, преподавателям хранить и обмениваться учебными материалами.


Для правообладателей

Яндекс.Метрика

Обратная связь

Email: Нажмите что бы посмотреть