Презентация, доклад по алгебре на тему Формула суммы n-первых членов арифметической прогрессии 9 класс.

Цели урока:- формирование у школьников познавательных интересов и потребности в знаниях;- познакомить учащихся с понятием - сумма n-первых членов арифметической прогрессии; систематизировать и отработать навыки вычисления членов арифметической прогрессии.

Слайд 1Тема урока:

Формула суммы n-первых членов арифметической прогрессии

Тема урока: Формула суммы n-первых членов арифметической прогрессии

Слайд 2Цели урока:
- формирование у школьников познавательных интересов и потребности в знаниях;
-

познакомить учащихся с понятием - сумма n-первых членов арифметической прогрессии;
систематизировать и отработать навыки вычисления членов арифметической прогрессии.
Цели урока:- формирование у школьников познавательных интересов и потребности в знаниях;- познакомить учащихся с понятием - сумма

Слайд 31; 2; 3; 5; -6; …
7; 5; 3; 1; -1; …
-2;

0; 2; 4; 6; …

1; 4; 9; 16; 25; …





1; 2; 3; 5; -6; …7; 5; 3; 1; -1; …-2; 0; 2; 4; 6; …1; 4;

Слайд 4

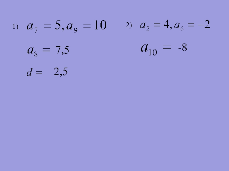
1)
d =
2)

7,5
2,5
-8

1)d = 2)7,52,5-8

Слайд 51; 2; 3; 4; 5; 6; 7; 8; 9; 10;…

1+ 2

+ 3 + 4 + 5 + 6 + 7 + 8 + 9 + 10 =

55

1+ 2 + 3 + 4 + 5 =

15


- сумма n первых членов арифметической прогрессии



1; 2; 3; 4; 5; 6; 7; 8; 9; 10;…1+ 2 + 3 + 4 + 5

Слайд 6"Математика - царица всех наук, а арифметика - царица математики"
Карл Фридрих

Гаусс

30 апреля 1777 г. - 23 февраля 1855 г.


Слайд 71 + 2 + 3 + …+100 = ???



+



1 + 2 + 3 + …+100 = ???+

Слайд 8
сумма n первых членов арифметической прогрессии
1)
2)

сумма n первых членов арифметической прогрессии1)2)

Слайд 9Найти сумму первых 11 членов прогрессии
9; 13; 17;…

Найти сумму первых 11 членов прогрессии9; 13; 17;…

Слайд 10Последовательности заданы несколькими первыми членами. Одна уз них – арифметическая прогрессия.

Укажите ее.

А) 1; 4; 9; 16; …

Б) -3; -6; -9; -12; …

В) 1; 3; 9; 27; …

Последовательности заданы несколькими первыми членами. Одна уз них – арифметическая прогрессия. Укажите ее.А) 1; 4; 9; 16;

Слайд 11Какая из последовательностей является арифметической прогрессией?
А) последовательность натуральных степеней числа 2

Б)

последовательность чисел, обратных натуральным

В) последовательность квадратов натуральных чисел

С) последовательность натуральных чисел, кратных 7
Какая из последовательностей является арифметической прогрессией?А) последовательность натуральных степеней числа 2Б) последовательность чисел, обратных натуральным В) последовательность

Слайд 12Для каждой арифметической прогрессии, заданной формулой n – го члена укажите

ее разность d
Для каждой арифметической прогрессии, заданной формулой n – го члена укажите ее разность d

Слайд 13Выписаны несколько последовательных членов арифметической прогрессии:
-34; -18; х; 14; …


Найдите член прогрессии обозначенный буквой х.
Выписаны несколько последовательных членов арифметической прогрессии: -34; -18; х; 14; … Найдите член прогрессии обозначенный буквой х.

Слайд 14Фигура составлена из квадратов так, как показано на рисунке. В каждом

следующем ряду на 2 квадрата больше, чем в предыдущем. Сколько квадратов в 15-м ряду?

А) 35 Б) 33 В) 31 Г) 15

Фигура составлена из квадратов так, как показано на рисунке. В каждом следующем ряду на 2 квадрата больше,

Слайд 15 Пример I.
Найти сумму
первых 30

членов
арифметической
прогрессии,
заданной формулой
an = 3n – 2.



Пример I. Найти сумму первых 30 членов арифметическойпрогрессии,заданной формулой an = 3n

Слайд 16
Пример II.


Найти сумму
20 первых членов арифметической
прогрессии: 4; 7; 10;…



Пример II. Найти сумму20 первых членов арифметической прогрессии:

Слайд 17 Самостоятельная работа
Найти седьмые члены

следующих
арифметических прогрессий:
а) (an): -6;-3; 0;…
б) (an): a1 = 6; d = 5;
в) an = 27 – 6n;
г) (an): a1 = -26; d = 7;
д)(an): 4; 6; 8;…
С помощью ключа прочитайте зашифрованное слово.

Самостоятельная работаНайти седьмые члены следующихарифметических прогрессий:а) (an): -6;-3; 0;…б) (an):

Что такое shareslide.ru?

Это сайт презентаций, где можно хранить и обмениваться своими презентациями, докладами, проектами, шаблонами в формате PowerPoint с другими пользователями. Мы помогаем школьникам, студентам, учителям, преподавателям хранить и обмениваться учебными материалами.


Для правообладателей

Яндекс.Метрика

Обратная связь

Email: Нажмите что бы посмотреть