Презентация, доклад по алгебре на тему Арифметическая прогрессия (9 класс).

Содержание

Цели и задачи урока:Познакомить учащихся с понятием «арифметическая прогрессия»Научить:распознавать арифметическую прогрессию; задавать прогрессию рекуррентной формулой и формулой n – ого члена;находить разность прогрессии;вычислять члены прогрессии.

Слайд 1Арифметическая прогрессия
Алгебра

Арифметическая прогрессияАлгебра

Слайд 2Цели и задачи урока:
Познакомить учащихся с понятием «арифметическая прогрессия»
Научить:
распознавать арифметическую прогрессию;

задавать прогрессию рекуррентной формулой и формулой n – ого члена;
находить разность прогрессии;
вычислять члены прогрессии.

Цели и задачи урока:Познакомить учащихся с понятием «арифметическая прогрессия»Научить:распознавать арифметическую прогрессию; задавать прогрессию рекуррентной формулой и формулой

Слайд 3Выявите закономерность и задайте последовательность рекуррентной формулой
1).1, 2, 3, 4, 5,


2).2, 5, 8, 11, 14,…
3).8, 6, 4, 2, 0, - 2, …
4) 0,5; 1; 1,5; 2; 2,5; …


an = a n -1 +1

an = a n -1 + 3

an = a n -1 + (-2)

an = a n -1 + 0,5

Выявите закономерность и задайте последовательность рекуррентной формулой1).1, 2, 3, 4, 5, …2).2, 5, 8, 11, 14,…3).8, 6,

Слайд 4Определение арифметической прогрессии
Числовая последовательность, каждый член которой, начиная со второго, равен

предыдущему, сложенному с одним и тем же числом, называется арифметической прогрессией
Определение арифметической прогрессииЧисловая последовательность, каждый член которой, начиная со второго, равен предыдущему, сложенному с одним и тем

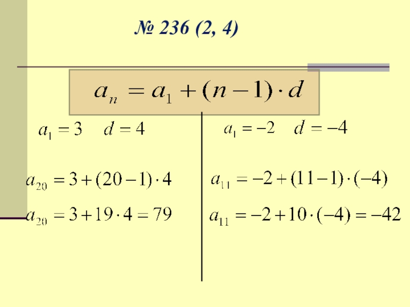
Слайд 5№ 236 (2, 4)

№ 236 (2, 4)

Слайд 6Разность арифметической прогрессии

Разность арифметической прогрессии

Слайд 7Решение:
Ответ :
Записать формулу n –го члена арифметической прогрессии: 25;

21; 17; 13 …
Решение:Ответ :Записать формулу n –го члена арифметической прогрессии:   25; 21; 17; 13 …

Слайд 8Записать формулу n –го члена арифметической прогрессии: 1; -4;

-9; -14 …

Решение:

Ответ :

Записать формулу n –го члена арифметической прогрессии:   1; -4; -9; -14 …Решение:Ответ :

Слайд 9Задание арифметической прогрессии формулой n – ого члена
Дано: (аn) – арифметическая

прогрессия, a1- первый член прогрессии, d – разность.
a2 = a1 + d
a3 = a2 + d =(a1 + d) + d = a1+2d
a4 = a3 + d =(a1+2d) +d = a1+3d
a5 = a4 + d =(a1+3d) +d = a1+4d
. . .
an = a1+ (n-1)d


Задание арифметической прогрессии формулой n – ого членаДано: (аn) – арифметическая прогрессия, a1- первый член прогрессии, d

Слайд 10Выписаны несколько последовательных членов арифметической прогрессии:
-34; -18; х; 14; …


Найдите член прогрессии обозначенный буквой х.

Решение:

Выписаны несколько последовательных членов арифметической прогрессии: -34; -18; х; 14; … Найдите член прогрессии обозначенный буквой х.Решение:

Слайд 11Для каждой арифметической прогрессии, заданной формулой n – го члена укажите

ее разность d
Для каждой арифметической прогрессии, заданной формулой n – го члена укажите ее разность d

Слайд 12Итог урока
Какая последовательность называется арифметической прогрессией? Приведите примеры.
Что такое разность прогрессии,

как ее вычислить?
Способы задания арифметической прогрессии?
Итог урокаКакая последовательность называется арифметической прогрессией? Приведите примеры.Что такое разность прогрессии, как ее вычислить?Способы задания арифметической прогрессии?

Что такое shareslide.ru?

Это сайт презентаций, где можно хранить и обмениваться своими презентациями, докладами, проектами, шаблонами в формате PowerPoint с другими пользователями. Мы помогаем школьникам, студентам, учителям, преподавателям хранить и обмениваться учебными материалами.


Для правообладателей

Яндекс.Метрика

Обратная связь

Email: Нажмите что бы посмотреть