Презентация, доклад по алгебре и началам анализа 10 класс

Содержание

Число 12 считается идеальным числом, оно означает мировую гармонию и порядок. В зодиаке – 12 знаков-животных, на Олимпе – 12 Богов, в сутках 12 часов дня и 12 часов ночи.

Слайд 1Определение логарифма. Основное логарифмическое тождество. Простейшие свойства логарифмов
Урок подготовила и провела


Егорова Л.Г.- учитель математики МАОУ В(С)Ш №13
Города Тюмени
12.10.2016 г.
Определение логарифма. Основное логарифмическое тождество. Простейшие свойства логарифмовУрок подготовила и провела Егорова Л.Г.- учитель математики МАОУ В(С)Ш

Слайд 2Число 12 считается идеальным числом, оно означает мировую гармонию и порядок.


В зодиаке – 12 знаков-животных, на Олимпе – 12 Богов, в сутках 12 часов дня и 12 часов ночи.
Число 12 считается идеальным числом, оно означает мировую гармонию и порядок. В зодиаке – 12 знаков-животных, на

Слайд 3 
an
Основание степени
Показатель степени




х = 2


х = - 3


х = 0


х =

- 1


 anОснование степениПоказатель степених = 2х = - 3х = 0х = - 1

Слайд 4
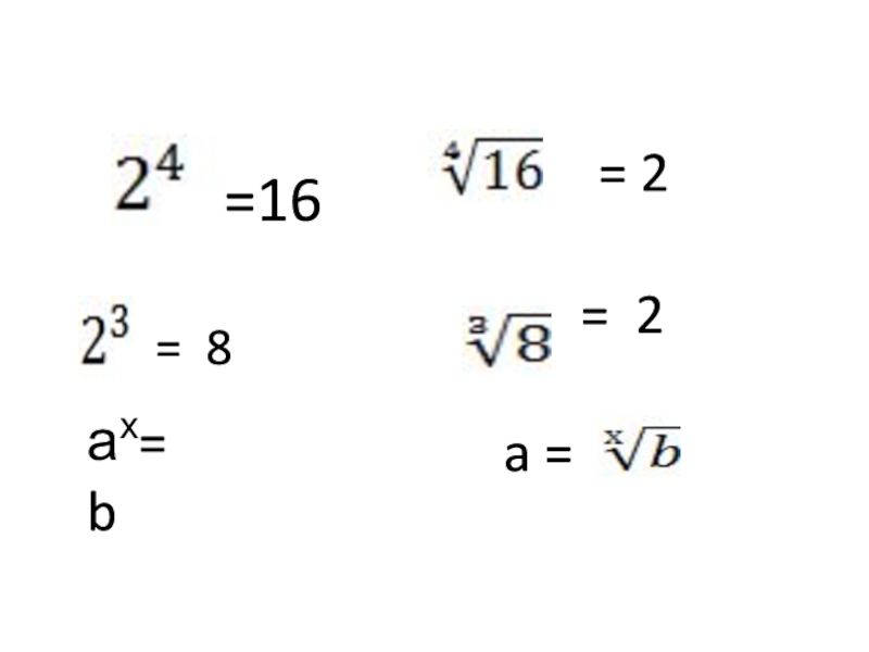
= 8
=16

= 2

= 2

ах=b

a =


= 8         =16  = 2

Слайд 6ЛОГАРИФМЫ
Основное логарифмическое тождество.
Простейшие свойства логарифмов.»

ЛОГАРИФМЫ Основное логарифмическое тождество. Простейшие свойства логарифмов.»

Слайд 7Задачи сегодняшнего урока:
Ввести понятие логарифма.
Установить связь между степенью и

логарифмом.
Дать определение логарифма.
Записать простейшие свойства логарифмов.
Научиться вычислять логарифмы чисел.
Задачи сегодняшнего урока: Ввести понятие логарифма. Установить связь между степенью и  логарифмом.  Дать определение логарифма.	Записать

Слайд 10
Логарифмом числа b по основанию а называется показатель степени, в

которую нужно возвести а, чтобы получить b.
Логарифмом числа b  по основанию а называется показатель степени,  в которую нужно возвести а, чтобы

Слайд 11Прочитать логарифмы

Прочитать логарифмы

Слайд 12Из истории логарифмов
Слово «логарифм» происходит от греческих слов logoz - число

и ariumoz - отношение. Переводится как «отношения чисел», одно из которых является членом арифметической прогрессии, а другое –геометрической.

Изобретение логарифмов тесно связано с развитием в XVI веке производства и торговли, астрономии и мореплавания, требовавших усовершенствования методов вычислительной математики.
Все чаще требовалось производить громоздкие действия над многозначными числами, все точнее и точнее должны быть результаты действий. Наибольшие проблемы возникали, как нетрудно понять, при выполнении операций умножения и деления.

Из истории логарифмов	Слово «логарифм» происходит от греческих слов logoz - число и ariumoz - отношение. Переводится как

Слайд 13«Изобретение логарифмов, сокращая вычисления нескольких месяцев в труд нескольких дней, словно

удваивает жизнь астрономов»
П.С. Лаплас
«Изобретение логарифмов, сокращая вычисления нескольких месяцев в труд нескольких дней, словно удваивает жизнь астрономов»П.С. Лаплас

Слайд 14

Основное логарифмическое
тождество

Основное  логарифмическоетождество

Слайд 15Свойства, следующие из определения














Свойства, следующие из определения

Слайд 16Десятичный логарифм - это логарифм по основанию10
Обозначение:

Десятичный логарифм - это логарифм по основанию10 Обозначение:

Слайд 17Вычислить:





Вычислить:

Слайд 181)log9 81 ;





3)log 31;
4)log5

5 ;

2)log





5)log

4;


6)log4



7)lg100;

8)


9)log64 8

1)log9 81 ;     3)log 31;4)log5 5 ;2)log 5)log 4;6)log47)lg100;8) 9)log64 8

Слайд 20Логарифмы в биологии

В нашу современную жизнь вторгается математика

с ее особым стилем мышления, становящимся сейчас обязательным и для инженера, и для биолога.
Задача №5
В начальный момент времени было 8 бактерий, через 2 ч после помещения бактерий в питательную среду их число возросло до 100. Через сколько времени с момента помещения в питательную среду следует ожидать колонию в 500 бактерий?
Логарифмы в биологии  В нашу современную жизнь вторгается математика с ее особым стилем мышления, становящимся сейчас

Слайд 21
Логарифмы в химии и биофизике
Для чего же нужны

логарифмы в химии и как они применяются?
Думаю, все из нас неоднократно встречались с пометкой pH на моющих средствах.
В химии эту пометку принято называть водородным показателем.

За что же он отвечает?

Водородным показателем pH называется отрицательный десятичный логарифм концентрации ионов водорода.
Переводя на доступный язык, можно сказать, что с помощью водородного показателя определяется уровень кислотности среды.
С помощью логарифмов ученые научились определять точный возраст ископаемых пород и животных. Наиболее распространен Радиоуглеродный анализ.


Логарифмы  в химии и биофизике Для чего же нужны логарифмы в химии и как они

Слайд 22Логарифмы в географии «Без знания математики нельзя понять ни основ современной

техники, ни того, как ученые изучают природные и социальные явления» Колмогоров. А.Н
Для планирования развития городов, других населенных пунктов, строительства жилья, дорог, других объектов мест проживания людей, необходимы расчеты – прогнозы на 5, 10, 20 лет вперед.
Покажем, как в таких расчетах применяются логарифмы.
По данным газеты «Зори» от 12 апреля 2011 года из доклада П. Е. Шишкина население в городе Старый Оскол за один год увеличилось с 256100 человек до 257135 человек

Через сколько лет население этого города увеличится в 1,5 раза?

Используются логарифмы и в расчётах, связанных с изменением атмосферного давления при изменении высоты над уровнем моря.
Зависимость давления атмосферы р ( в сантиметрах ртутного столба) от выраженной в километрах высоты h над уровнем моря выражается формулой p=76*2,7-h/8. Вычислим, каким будет атмосферное давление на вершине Эльбруса, высота которой 5,6 км?

Логарифмы в географии   «Без знания математики нельзя понять ни основ современной техники, ни того, как

Слайд 23
Другой пример из расчётов прироста производства древесины. Задача. Лесной участок содержит

6500 древесины. Сколько будет древесины на этом участке через 10 лет, если ежегодный прирост леса составляет в среднем 2%?

Мы не исчерпали всех примеров применения логарифмов, поскольку это сделать просто невозможно. Логарифмы находят самое широкое применение и при обработке результатов тестирований в психологии и социологии , в составлении прогнозов погоды и т.п.


Другой пример из расчётов прироста производства древесины. Задача. Лесной участок содержит 6500 древесины. Сколько будет древесины на

Слайд 25 Раковины многих моллюсков, улиток закручены по логарифмической спирали.

Раковины многих моллюсков, улиток закручены по логарифмической спирали.

Слайд 26
По логарифмической спирали закручены рога таких млекопитающих, как архары (горные козлы),

клювы попугаев

Можно сказать, что эта спираль является математическим символом соотношения формы и роста.

По логарифмической спирали закручены рога таких млекопитающих, как архары (горные козлы), клювы попугаев Можно сказать, что эта

Слайд 27По логарифмической спирали очерчены не только раковины. Один из распространенных пауков,

эпейра, сплетая паутину, закручивает нити вокруг центра по логарифмическим спиралям.

По логарифмической спирали очерчены не только раковины. Один из распространенных пауков, эпейра, сплетая паутину, закручивает нити вокруг

Слайд 28В подсолнухе
семечки расположены
по дугам близким
к логарифмическим
спиралям.
Особенности логарифмической спирали

поражали не только математиков. Ее свойства удивляют и биологов, которые считают именно эту спираль своего рода стандартом биологических объектов самой разной природы.
В подсолнухе семечки расположены по дугам близкимк логарифмическимспиралям. Особенности логарифмической спирали поражали не только математиков. Ее свойства

Слайд 29Почему хищник кружит над добычей?
 Мы так привыкли, что хищник кружит над

своей добычей, что не только не задаемся вопросом, почему он это делает, но и в большинстве случаев, не замечаем, что на самом деле он выписывает функцию, называемую логарифмической спиралью.
Тайна того, почему хищные птицы в большинстве случаев летают именно по спирали, была открыта американцем Тукером. Согласно его заявлению, они делают это, чтобы максимально использовать их острое “поперечное” зрение.
Почему хищник кружит над добычей? Мы так привыкли, что хищник кружит над своей добычей, что не только не

Слайд 30Логарифмическая спираль в технике
В гидротехнике по логарифмической спирали изгибают трубу, подводящую

поток воды к лопастям турбины. Благодаря такой форме трубы потери энергии на изменение направления течения в трубе оказываются минимальными и напор воды используется с максимальной производительностью.

Пропорциональность длины дуги спирали разности длин радиус – векторов используют при проектировании зубчатых колес с переменным передаточным числом.

Логарифмическая спираль в техникеВ гидротехнике по логарифмической спирали изгибают трубу, подводящую поток воды к лопастям турбины. Благодаря

Слайд 31Логарифмическая спираль в технике


Дело в том, что в технике часто

применяются вращающиеся ножи. Сила с которой они давят на разрезаемый материал, зависит от угла резания, т.е. угла между лезвием ножа и направлением скорости вращения. Для постоянного давления нужно, чтобы угол резания сохранял постоянное значение, а это будет в том случае, если лезвия ножей очерчены по дуге логарифмической спирали.

Логарифмическая спираль в технике Дело в том, что в технике часто применяются вращающиеся ножи. Сила с которой

Слайд 32Звёзды, шум и логарифмы.
Этот заголовок связывает, столь казалось бы, несоединимые вещи.

Шум и звёзды объединяются здесь потому, что громкость шума и яркость звезд оцениваются одинаковым образом – по логарифмической шкале.

Звёзды, шум и логарифмы.Этот заголовок связывает, столь казалось бы, несоединимые вещи. Шум и звёзды объединяются здесь потому,

Слайд 33По логарифмической спирали закручены и многие галактики, в частности Галактика, которой

принадлежит Солнечная система.

Галактика млечный путь - типичная спиральная галактика.

По логарифмической спирали закручены и многие галактики, в частности Галактика, которой принадлежит Солнечная система.Галактика млечный путь -

Слайд 34Астрономы распределяют звезды по степеням видимой яркости на светила первой, второй,

третьей и т.д. звездной величины.
Физическая яркость звезд составляет геометрическую прогрессию со знаменателем 2,5. Поэтому «величина» звезды представляет собой не что иное, как логарифм ее

физической яркости. Оценивая видимую яркость звезд, астроном оперирует с таблицей логарифмов, составленной по основанию 2,5

Астрономы распределяют звезды по степеням видимой яркости на светила первой, второй, третьей и т.д. звездной величины.Физическая яркость

Слайд 35Сходным образом оценивается и громкость шума.
Вредное влияние промышленных шумов на

здоровье рабочих и производительность труда побудило выработать приемы точной числовой оценки громкости шума. Единицей громкости служит «бел», практически — его десятая доля, «децибел».

Громкость шума, выраженная в белах, равна десятичному логарифму его физической силы.

Рассмотрим несколько примеров:
тихий шелест листьев оценивается в 1 бел;
громкая разговорная речь — в 6,5 бела;
рычанье льва — в 8,7 бела;
удары молотка о стальную плиту - в 11 бел;
самое шумное место – Ниагарский водопад – в 9 бел.
Отсюда следует, что по силе звука разговорная речь превышает шелест листьев в 316 000 раз;
Львиное рычанье сильнее громкой разговорной речи в 158 раз.

Сходным образом оценивается и громкость шума. Вредное влияние промышленных шумов на здоровье рабочих и производительность труда побудило

Слайд 36Шум, громкость которого больше 8 бел, признается вредным для человеческого организма.


Случайность ли то, что при оценке видимой яркости светил и при изменении громкости шума мы имеем дело с логарифмической зависимостью; между величиной ощущения и порождающего его раздражения?
Нет, ученые пришли к выводу о том, что организм как бы «логарифмирует» полученные им раздражения.
Здесь действует так называемый «психофизический закон Фехнера»:
величина ощущения пропорциональна логарифму величины раздражения
Как видим, логарифмы вторгаются и в область психологии
Шум, громкость которого больше 8 бел, признается вредным для человеческого организма. Случайность ли то, что при оценке

Слайд 37Великий немецкий поэт Иоганн-Вольфганг Гёте считал логарифмическую спираль даже
математическим символом жизни

и духовного развития.

1749-1833 г.г.

Великий немецкий поэт Иоганн-Вольфганг Гёте считал логарифмическую спираль даже математическим символом жизни и духовного развития.  1749-1833

Слайд 38Вычислите

Вычислите

Что такое shareslide.ru?

Это сайт презентаций, где можно хранить и обмениваться своими презентациями, докладами, проектами, шаблонами в формате PowerPoint с другими пользователями. Мы помогаем школьникам, студентам, учителям, преподавателям хранить и обмениваться учебными материалами.


Для правообладателей

Яндекс.Метрика

Обратная связь

Email: Нажмите что бы посмотреть