Презентация, доклад Квадрат суммы, квадрат разности.

Например:

Слайд 1Квадрат суммы и квадрат разности

Квадрат суммы и квадрат разности

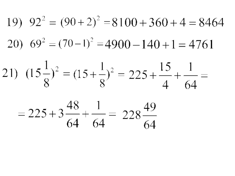
Слайд 4Например:

Например:

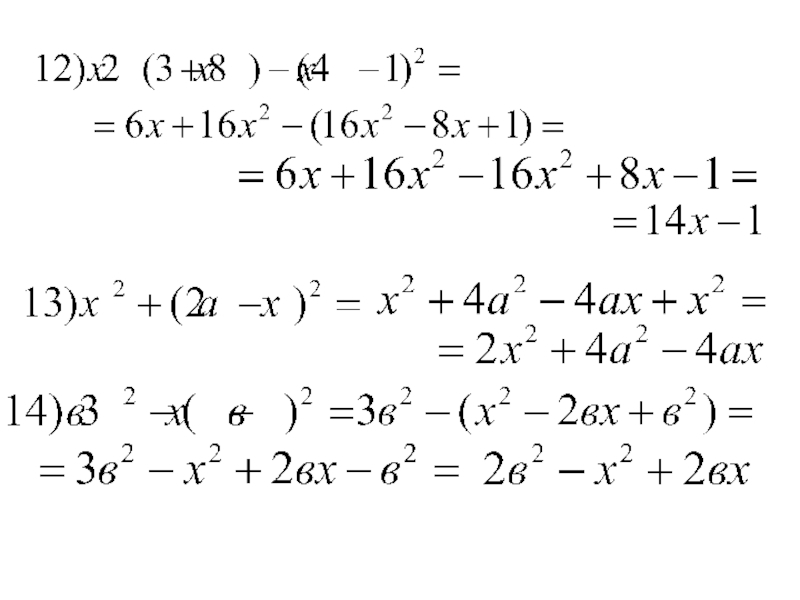
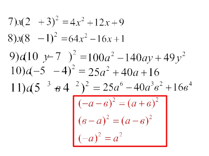
Слайд 9Упростите выражение:

Упростите выражение:

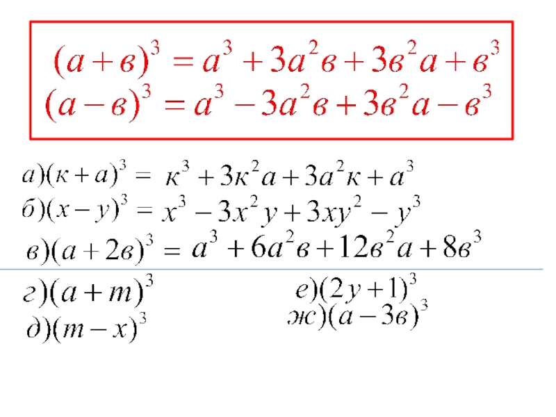
Слайд 10Куб суммы и куб разности

Куб суммы и куб разности

Слайд 12Разложение на множители с помощью формул квадрата суммы и квадрата разности.

Разложение на множители с помощью формул квадрата суммы и квадрата разности.

Слайд 13Разложите на множители трехчлен

Разложите на множители трехчлен

Слайд 14Решите уравнение:

Решите уравнение:

Что такое shareslide.ru?

Это сайт презентаций, где можно хранить и обмениваться своими презентациями, докладами, проектами, шаблонами в формате PowerPoint с другими пользователями. Мы помогаем школьникам, студентам, учителям, преподавателям хранить и обмениваться учебными материалами.


Для правообладателей

Яндекс.Метрика

Обратная связь

Email: Нажмите что бы посмотреть