Презентация, доклад к уроку по математике в 8 классе Тождественные преобразования рациональных выражений

Теория без практики мертва или бесплодна, практика без теории невозможна или пагубна. Для теории нужны знания, для практики, сверх того, и умения.

Слайд 1Тема. Тождественные преобразования рациональных выражений
8 класс

Тема. Тождественные преобразования рациональных выражений8 класс

Слайд 2Теория без практики мертва или бесплодна, практика без теории невозможна или

пагубна. Для теории нужны знания, для практики, сверх того, и умения.
А.Н.Крылов
Теория без практики мертва или бесплодна, практика без теории невозможна или пагубна. Для теории нужны знания, для

Слайд 3Ожидаемый результат:
совершенствовать умения выполнять сложение, вычитание, умножение и деление рациональных дробей;
проводить

тождественные преобразования рациональных выражений.
Ожидаемый результат:совершенствовать умения выполнять сложение, вычитание, умножение и деление рациональных дробей;проводить тождественные преобразования рациональных выражений.

Слайд 4Таблица рейтингового оценивания




Таблица рейтингового оценивания

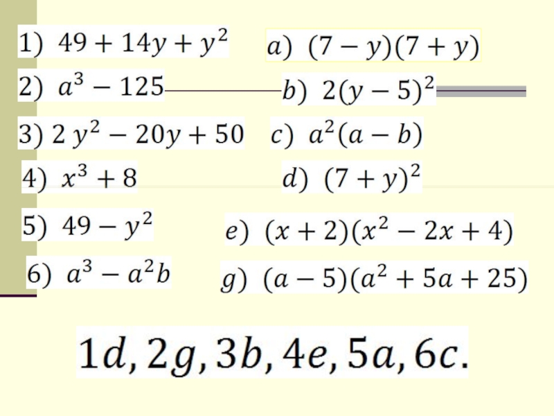
Слайд 5Какое выражение называется рациональным?
Как сложить две рациональные дроби с разными знаменателями?
Какие

способы разложения многочлена на множители вы знаете?
Как найти произведение рациональных выражений?
Каков порядок действий при выполнении тождественных преобразований?
Какое выражение называется рациональным?Как сложить две рациональные дроби с разными знаменателями?Какие способы разложения многочлена на множители вы

Слайд 8= 2а
=

= 2а=

Слайд 9= 2а
=
=

= 2а==

Слайд 10= 2а
=
=
=
=

= 2а====

Слайд 11= 2а
=
=
=
=

= 2а====

Слайд 12= 2а
=
=
=
=
=

= 2а=====

Слайд 14«Поле чудес»






























«Поле чудес»

Слайд 15Мышление начинается с удивления.

Аристотель
Мышление начинается с удивления.         Аристотель

Слайд 165=6
Доказательство
35+10-45=42+12-54
5(7+2-9)=6(7+2-9)
5=6

5=6Доказательство 35+10-45=42+12-545(7+2-9)=6(7+2-9)5=6

Слайд 17Экономическая игра «Биржа знаний»
Биржа – коммерческое предприятие по производству посреднических услуг,

где совершаются сделки купли – продажи.
Фондовая биржа – биржа, на которой торгуют основными видами ценных бумаг, акциями.
Трейдер – член биржи, который осуществляет операции за свой счет.
Брокер – член биржи, получающий вознаграждение за выполнение поручений клиентов.
Клерк – член биржи, владеющий торговой информацией, т.е. продающий акции.
Арбитражный комитет – орган, который регулирует споры по поводу сделки, и отношения между участниками биржевой торговли.
Инвестиции – вложение средств.
Акция – вид ценной бумаги, т.е. бумажный дубликат капитала.
Экономическая игра  «Биржа знаний»Биржа – коммерческое предприятие по производству посреднических услуг, где совершаются сделки купли –

Слайд 18Стоимость акции

Стоимость акции

Слайд 19Логическая задача















Логическая задача

Что такое shareslide.ru?

Это сайт презентаций, где можно хранить и обмениваться своими презентациями, докладами, проектами, шаблонами в формате PowerPoint с другими пользователями. Мы помогаем школьникам, студентам, учителям, преподавателям хранить и обмениваться учебными материалами.


Для правообладателей

Яндекс.Метрика

Обратная связь

Email: Нажмите что бы посмотреть