Презентация, доклад на тему Методы решения иррациональных уравнений, профильный уровень 10 класс

Содержание

Работаем устно

Слайд 1Методы решения иррациональных уравнений
10 класс
Профильный уровень
.

Методы решения иррациональных уравнений 10 классПрофильный уровень.

Слайд 2Работаем устно

Работаем устно

Слайд 3Устная работа
Можно ли, не решая уравнений, сделать вывод о неразрешимости предложенных

уравнений:


Устная работаМожно ли, не решая уравнений, сделать вывод о неразрешимости предложенных уравнений:

Слайд 4Методы решения иррациональных уравнений
Введение новой переменной
Исследование ОДЗ
Умножение обеих частей уравнения на

сопряженный множитель.
Сведение уравнения к системе рациональных уравнений с помощью введения переменной.
Выделение полного квадрата

Методы решения иррациональных уравненийВведение новой переменнойИсследование ОДЗУмножение обеих частей уравнения на сопряженный множитель.Сведение уравнения к системе рациональных

Слайд 5Методы решения иррациональных уравнений
Использование свойств монотонности функций

Функционально - графический метод

Метод равносильных

преобразований

Метод возведения обеих частей уравнения в одну и ту же степень
Методы решения иррациональных уравненийИспользование свойств монотонности функцийФункционально - графический методМетод равносильных преобразованийМетод возведения обеих частей уравнения в

Слайд 6Введение новой переменной
а2 -2а – 3 =0
а1 = -1 не удовлетворяет

условию:

а2 = 3

х + 32 = 81
х = 49

Ответ: 49.

Введение новой переменнойа2 -2а – 3 =0а1 = -1 не удовлетворяет условию: а2 = 3х + 32

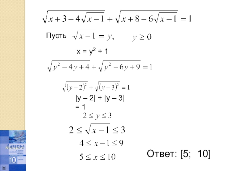
Слайд 7
Ответ: [5; 10]

Ответ: [5; 10]

Слайд 8Введение новой переменной
Решить уравнение.
Пусть х2+ 3х- 6 = t ,

t ≥0,

тогда

Отсюда, t1=4, t2=36.

Проверка: t=36 – посторонний корень.

Выполняем обратную подстановку

х2+3х-6=4

Отсюда, х1= - 5, х2=2.

Введение новой переменной Решить уравнение.Пусть х2+ 3х- 6 = t ,  t ≥0, тогдаОтсюда, t1=4, t2=36.Проверка:

Слайд 9
Решить уравнение

Исследование ОДЗ
Решение.
Замечаем, что ОДЗ уравнения состоит из одной точки х=1.
Проверкой

убеждаемся, что
х=1 – решение уравнения.

Решить уравнениеИсследование ОДЗРешение.Замечаем, что ОДЗ уравнения состоит из одной точки х=1.Проверкой убеждаемся, что х=1 – решение

Слайд 10Умножение обеих частей уравнения на сопряженный множитель
Решить уравнение

Умножим обе части уравнения

на

Проверкой убеждаемся, что х = 1 является корнем данного уравнения.

Умножение обеих частей уравнения на сопряженный множительРешить уравнениеУмножим обе части уравнения наПроверкой убеждаемся, что х = 1

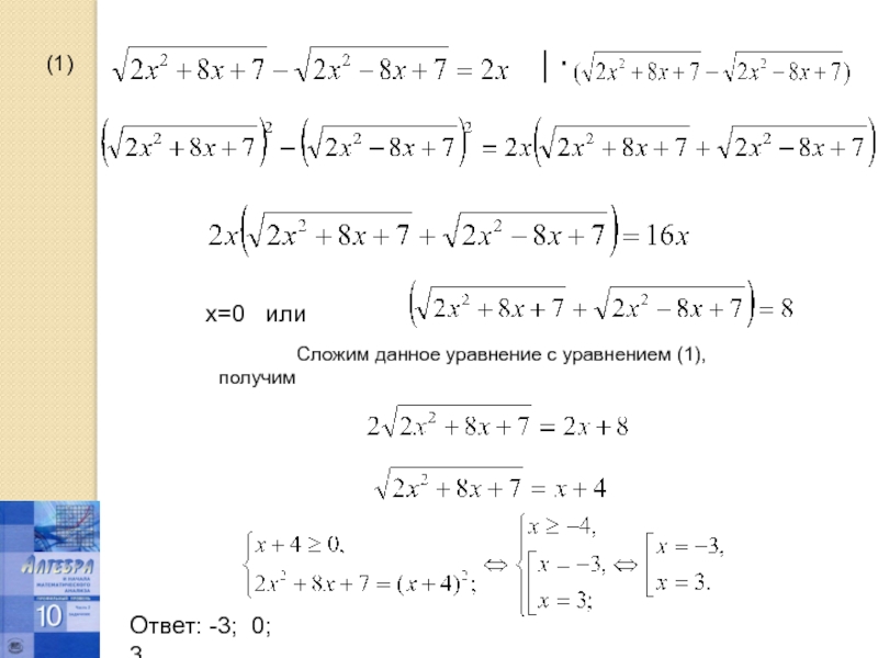
Слайд 11(1)
| ∙
х=0 или

Сложим данное уравнение с уравнением (1), получим





Ответ: -3; 0; 3.

(1)    | ∙ х=0  или

Слайд 12Сведение к системе рациональных уравнений с помощью введения переменной
Решить уравнение


Замена

Тогда u+v=3.
Так как u3=x-2, v2=x+1,
то v2 – u3 =3. Итак, в новых переменных имеем

Значит, х=3.

Сведение к системе рациональных уравнений с помощью введения переменнойРешить уравнение  Замена Тогда  u+v=3. Так как

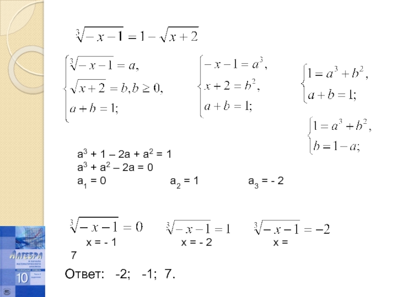
Слайд 13


a3 +

1 – 2a + a2 = 1
a3 + a2 – 2a = 0
a1 = 0 a2 = 1 a3 = - 2



Ответ: -2; -1; 7.

a3 + 1 – 2a + a2 =

Слайд 14Выделение полного квадрата
Решить уравнение
Заметим, что
Следовательно, имеем уравнение:

или
Решением первой системы

будет х=0, решением второй системы – все числа, удовлетворяющие неравенству

Ответ:

Выделение полного квадратаРешить уравнение Заметим, что Следовательно, имеем уравнение:илиРешением первой системы будет х=0, решением второй системы –

Слайд 15Использование свойств монотонности функций
f(x) =

, - возрастает на D(f).
g(x)= 5 - x, - убывает на D(g).
Уравнение f(x)=g(x) имеет не более одного корня.
4. Подбором находим, что X=2.
Ответ. 2.
Использование свойств монотонности функцийf(x) =         , - возрастает на

Слайд 16Использование свойств монотонности функций
Решить уравнение
Если функция

u(x) монотонная, то уравнение и(х) = А либо не имеет решений, либо имеет единственное решение.
Отсюда следует, что уравнение и(х) = v(x), где и(х) - возрастающая, a v(x) – убывающая функции, либо не имеет решений, либо имеет единственное решение.

Подбором находим, что х=2. Это единственное
решение.

Использование свойств монотонности функцийРешить уравнение    Если функция u(x) монотонная, то уравнение и(х) = А

Слайд 17Графический метод
Решите графически уравнение
1) Строим график
2) Строим график
3)

Находим абсциссы точек
пересечения графиков

4)Записываем ответ.

Ответ. 0; 4,2.

Графический метод Решите графически уравнение 1) Строим график2) Строим график 3) Находим абсциссы точек

Слайд 18Домашнее задание
Решить систему уравнений

Решите уравнения:

Домашнее задание Решить систему уравненийРешите уравнения:

Что такое shareslide.ru?

Это сайт презентаций, где можно хранить и обмениваться своими презентациями, докладами, проектами, шаблонами в формате PowerPoint с другими пользователями. Мы помогаем школьникам, студентам, учителям, преподавателям хранить и обмениваться учебными материалами.


Для правообладателей

Яндекс.Метрика

Обратная связь

Email: Нажмите что бы посмотреть