Презентация, доклад на тему Методическая разработка по теме Решение неравенств методом интервалов

Содержание

Решение неравенств Метод интерваловАлгебра. 8 классУроки 1 - 3

Слайд 1Уроки алгебры в 8 классе
Васютина Елена Геннадьевна Санкт-Петербург, Лицей 126 2019 год

Уроки алгебры  в 8 классеВасютина Елена Геннадьевна Санкт-Петербург, Лицей 126 2019 год

Слайд 2Решение неравенств Метод интервалов
Алгебра. 8 класс
Уроки 1 - 3


Решение неравенств Метод интерваловАлгебра. 8 классУроки 1 - 3

Слайд 3Метод интервалов для решения неравенств


Если выражение f(x) можно разложить на

линейные множители, то неравенства вида f(x) > 0 можно решать методом интервалов, который состоит в следующем:

1) разложите f(x) на линейные множители; 2) найдите корень каждого множителя и нанесите все корни на числовую ось в порядке возрастания; 3) исследуйте знак произведения на каждом из получившихся отрезков числовой оси.

Метод интервалов для решения неравенств Если выражение f(x) можно разложить на линейные множители, то неравенства вида f(x)

Слайд 4Метод интервалов для решения неравенств


Правило расстановки знаков 1: если все

линейные множители имеют различные корни, то выражение будет менять знак при переходе через корень. Поэтому достаточно определить знак на крайнем правом интервале.

Пример 1: Решите неравенство

Решение: а) В левой части неравенства ― произведение линейных множителей, в правой ― 0, то есть можно применить метод интервалов.

б) Найдем корни линейных множителей:

− 2

1

3

в) Нанесем корни на числовую ось

− 2

1

3

х

Метод интервалов для решения неравенств Правило расстановки знаков 1: если все линейные множители имеют различные корни, то

Слайд 5− 2
1
3
х

Корни разбивают числовую прямую на 4 интервала



г) Исследуем знаки произведения на каждом интервале, начиная с правого

Для этого подставим любое число из правого интервала вместо x. Например, 10.

10

+

Тогда знак на правом интервале +

Далее при переходе через корень(нуль) знак меняется, так как все корни разные!


+


Выбираем нужные интервалы по знаку неравенства

Ответ: (− 2; 1); (3; +∞)

− 213х Корни разбивают числовую прямую на 4 интервала  г) Исследуем знаки произведения на каждом интервале, начиная

Слайд 6

Метод интервалов для решения неравенств

Метод интервалов для решения неравенств

Слайд 7

Метод интервалов для решения неравенств
Замечание: При решении нестрогих неравенств вида

или надо включать в множество решений точки, являющиеся корнями числителя.

Пример 3: Решите неравенство

− 2,5

− 1,5

0

х




+


+


2




Больше или равно нулю! Закрасим точки - корни числителя.

Сначала отметим корни числителя и знаменателя выколотыми точками, расставим знаки.

Ответ: (− 2,5; − 1,5); [0; 2]

Метод интервалов для решения неравенствЗамечание: При решении нестрогих неравенств вида или надо включать в множество решений

Слайд 8Метод интервалов


Решите неравенства:
Разбираем вместе (1 уровень)
Ответы: 1)
2)
3)
4)
5)
6)
7)
(−∞; − 7); (− 5;

11)

(−∞; 2); (7; + ∞)

(− 2; − 1/6); (5; + ∞)

(− 4; − 1); (0; 6)

(0; 4); (6; +∞)

(−∞; − 8); (2; 5)

(− 4; 0,5); (7; +∞);

Метод интервалов Решите неравенства:Разбираем вместе (1 уровень)Ответы: 1) 2)3)4)5)6)7)(−∞; − 7); (− 5; 11)(−∞; 2); (7; +

Слайд 9Метод интервалов


Решите неравенства:
Самостоятельно (1 уровень)
Ответы: 1)
2)
3)
4)
5)
6)
1)
2)

3)

4)
5)

6)
(−∞; − 4); (5; 7)
(− 1,5;

5)

(− 4; 3)

(− 7; − 1); (3; + ∞)

(−∞; − 5); (0; 0,5)

(−∞; − 3); (− 1; 2); (5; + ∞)

Метод интервалов Решите неравенства:Самостоятельно (1 уровень)Ответы: 1) 2)3)4)5)6)1)2)3)4)5)6)(−∞; − 4); (5; 7)(− 1,5; 5)(− 4; 3)(− 7;

Слайд 11Метод интервалов


Решите неравенства:
Разбираем вместе (1 уровень)
Ответы: 7)
8)
9)
10)
11)

12)
(−∞; − 5); (− 1/6; 5)
(−∞;

− 0,25); (0; 0,5)

(−∞; − 4); [0; 0,25]

[−5; 0]; [5; +∞)

(−∞; − 1,5); [1; 3]; (4; +∞)

[− 2; − 1); [1; 2,5)

Метод интервалов Решите неравенства:Разбираем вместе (1 уровень)Ответы: 7)8)9)10)11)12)(−∞; − 5); (− 1/6; 5)(−∞; − 0,25); (0; 0,5)(−∞;

Слайд 12Метод интервалов


Решите неравенства:
Самостоятельно (1 уровень)
Ответы: 1)
2)
3)

4)
5)
6)
(− 7; 6); (7; +∞)
(− 2; 0);

[0,8; 1]

(−∞; −7]; [− 2; − 1]; [2; +∞)

[0; 1];[2; +∞)

[1;2); [3; 6)

(−∞; − 1,5]; (0,2; 1]; [1,5; +∞)

Метод интервалов Решите неравенства:Самостоятельно (1 уровень)Ответы: 1)2)3)4)5)6)(− 7; 6); (7; +∞)(− 2; 0); [0,8; 1](−∞; −7]; [−

Слайд 13Метод интервалов для решения неравенств


Правило расстановки знаков 2: При разложении

левой части неравенства могут встретиться одинаковые множители. Если число этих множителей четное, то при переходе через их общий корень произведение не будет менять знак. Если число одинаковых множителей нечетно, то знак будет меняться.

Замечание: Множители в четной степени положительны, на знак всего выражения они не влияют, но их отбрасывать нельзя, так как при этом потеряется точка, в которой этот множитель обращается в нуль.

Метод интервалов для решения неравенств Правило расстановки знаков 2: При разложении левой части неравенства могут встретиться одинаковые

Слайд 14Метод интервалов для решения неравенств


Пример 2: Решите неравенство
− 1
1
2
х





+

3


+


Перед расстановкой знаков отметим корни четной кратности. При переходе через эти корни знак выражения меняться не будет.


ч

ч

Ответ: (− ∞; − 1]; 2; (3; + ∞)

Внимание! Не забыть отдельно стоящую точку x = 2.

Метод интервалов для решения неравенств Пример 2: Решите неравенство− 112х ───+3 + Перед расстановкой знаков отметим корни

Слайд 151)
2)

3)
4)
5)

Метод интервалов


Решите неравенства:
Разбираем вместе (1 уровень)
(−2; 1); (1; 4); (5; +∞)
(−∞;

− 4); (2; 3)

[− 4;0]; 1; [3; +∞)

− 3; [0,5; 2]

[− 3; 0); (2; 4]

1)2)3)4)5)Метод интервалов Решите неравенства:Разбираем вместе (1 уровень)(−2; 1); (1; 4); (5; +∞)(−∞; − 4); (2; 3)[− 4;0];

Слайд 161)

2)

3)

4)

Метод интервалов


Решите неравенства:
Разбираем вместе (1 уровень)

1)2)3)4)Метод интервалов Решите неравенства:Разбираем вместе (1 уровень)

Слайд 175)

6)

7)

8)

Метод интервалов


Решите неравенства:
Разбираем вместе (1 уровень)

5)6)7)8)Метод интервалов Решите неравенства:Разбираем вместе (1 уровень)

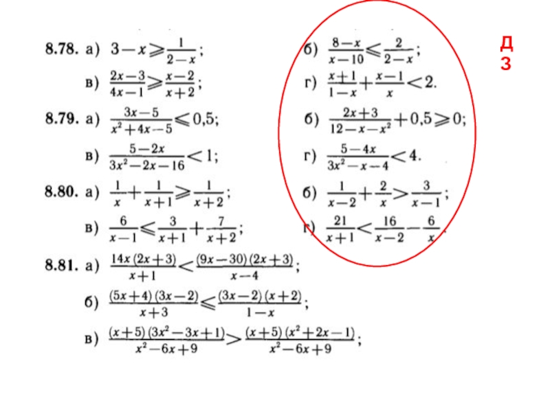
Слайд 18Домашнее задание
Карточка
Урок закончен.
Спасибо за внимание!

Домашнее задание КарточкаУрок закончен.Спасибо  за внимание!

Слайд 19Метод интервалов


Решите неравенство:
Разбираем вместе (2 уровень)
1) Перенесем дробь из правой части

в левую

2) Приведем дроби к общему знаменателю: x(x − 3)

3) Упрощаем выражение в числителе

4) Раскладываем числитель на линейные множители

Метод интервалов Решите неравенство:Разбираем вместе (2 уровень)1) Перенесем дробь из правой части в левую2) Приведем дроби к

Слайд 20

Решите неравенство:
Разбираем вместе (2 уровень)
5) Неравенство готово к использованию метода интервалов
0
3
х







+


+


Ответ:

Решите неравенство:Разбираем вместе (2 уровень)5) Неравенство готово к использованию метода интервалов03х   ─+─+─Ответ:

Слайд 21Метод интервалов


Решите неравенство:
Разбираем вместе (2 уровень)

Метод интервалов Решите неравенство:Разбираем вместе (2 уровень)

Слайд 22Метод интервалов


Решите неравенство:
Разбираем вместе (2 уровень)

Метод интервалов Решите неравенство:Разбираем вместе (2 уровень)

Слайд 24Метод интервалов


Решите неравенство:
Разбираем вместе (3 уровень)

Метод интервалов Решите неравенство:Разбираем вместе (3 уровень)

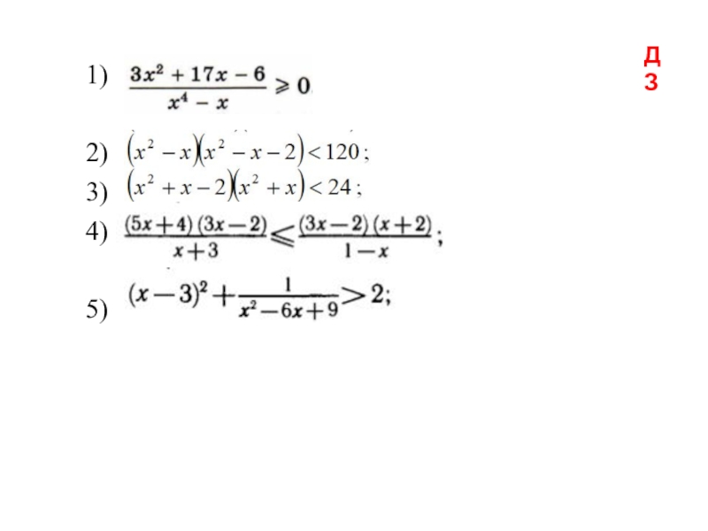
Слайд 26Домашнее задание
№ 663(2,4), 664(2,4), 666(2,4), 669(2,4)
Урок закончен.
Спасибо за внимание!

Домашнее задание № 663(2,4), 664(2,4), 666(2,4), 669(2,4) Урок закончен.Спасибо  за внимание!

Что такое shareslide.ru?

Это сайт презентаций, где можно хранить и обмениваться своими презентациями, докладами, проектами, шаблонами в формате PowerPoint с другими пользователями. Мы помогаем школьникам, студентам, учителям, преподавателям хранить и обмениваться учебными материалами.


Для правообладателей

Яндекс.Метрика

Обратная связь

Email: Нажмите что бы посмотреть