Презентация, доклад на тему Метод рационализации при решении неравенств

Содержание

Правильному применению методов можно научиться, только применяя их на различных примерах.

Слайд 1Подготовка к ЕГЭ по математике Решение заданий 15 ( профильный уровень )
Авторы:
Коршикова Е.А.

учитель математики МКОУ СОШ №7 с. Старомарьевка
Москаленко И.И. учитель математики МКОУ СОШ №2 с. Бешпагир
Подготовка к ЕГЭ  по математике Решение заданий 15 ( профильный уровень )Авторы:Коршикова Е.А. учитель математики МКОУ

Слайд 2 Правильному применению методов можно научиться, только применяя их на различных примерах.

Цейтен


Иероним Георг Цейтен (1839—1920) — датский математик и историк математики. Работы относятся к геометрии, алгебраической геометрии и математическому анализу, но основную известность получил благодаря трудам по истории математики, переведенным на многие языки.
Член Датской АН(1872).

Правильному применению методов можно научиться, только применяя их на различных примерах.

Слайд 3Основные свойства логарифмов При а>0 (а≠1) и любых положительных х

и у выполнены равенства:

loga 1=0 ; loga a=1
loga (xy) = loga x + loga y
loga = loga x - loga y
loga xp = p loga x для действительного р


Основные свойства логарифмов   При  а>0 (а≠1) и любых положительных х и у выполнены

Слайд 4Метод рационализации при решении логарифмических неравенств

Часто, при решении логарифмических неравенств, встречаются

задачи с переменным основанием логарифма. Так, неравенство вида

(1)

является стандартным школьным неравенством.

Метод рационализации при решении логарифмических неравенствЧасто, при решении логарифмических неравенств, встречаются задачи с переменным основанием логарифма. Так,

Слайд 5Как правило, для его решения применяется переход к равносильной совокупности систем:





Недостатком

данного метода является необходимость решения семи неравенств, не считая двух систем и одной совокупности. Уже при данных квадратичных функциях решение совокупности может потребовать много времени.
Можно предложить альтернативный, менее трудоемкий способ решения этого стандартного неравенства. Для этого учтем следующую теорему.
Как правило, для его решения применяется переход к равносильной совокупности систем:Недостатком данного метода является необходимость решения семи

Слайд 6Теорема 1.
Пусть   непрерывная возрастающая функция

на множестве X.

Тогда на этом множестве знак приращения функции будет совпадать со знаком приращения аргумента, т.е. 

где 

Примечание: если 

 непрерывная убывающая функция на множестве X, то 

Теорема 1. Пусть       непрерывная возрастающая функция на множестве X. Тогда на этом

Слайд 7Вернемся к неравенству 
Перейдем к десятичному логарифму
Теперь можно воспользоваться теоремой, заметив

в числителе приращение функций 

и в знаменателе 

Таким образом,

(2)

Вернемся к неравенству Перейдем к десятичному логарифму Теперь можно воспользоваться теоремой, заметив в числителе приращение функций и в знаменателе Таким

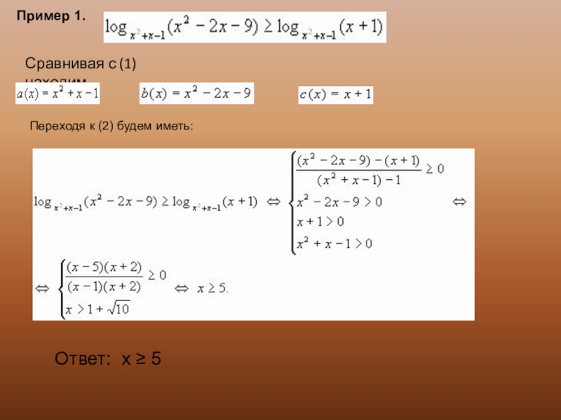
Слайд 8Пример 1.
Сравнивая с (1) находим 
Переходя к (2) будем иметь:
Ответ: х

≥ 5
Пример 1.Сравнивая с (1) находим Переходя к (2) будем иметь: Ответ: х ≥ 5

Слайд 9Пример 2.
Сравнивая с (1) находим
Переходя к (2) будем иметь:
Ответ:

Пример 2.Сравнивая с (1) находимПереходя к (2) будем иметь:Ответ:

Слайд 10Пример 3.
Поскольку левая часть неравенства – возрастающая функция при 
и
и
то ответом будет

множество 

Ответ:

Пример 3.Поскольку левая часть неравенства – возрастающая функция при иито ответом будет множество Ответ:

Слайд 11Множество примеров, в которых можно применять терему 1 может быть легко

расширено, если учесть терему 2.

Терема 2.

Пусть на множестве X определены функции : ,

и на этом множестве знаки 

 и 

совпадают, т.е. 

тогда будет справедливо 

Пример 4.

Ответ:

Множество примеров, в которых можно применять терему 1 может быть легко расширено, если учесть терему 2.Терема 2.Пусть

Слайд 12Пример 5.
Если учесть терему 2, то каждый из сомножителей, учитывая (2),

можно заменить на другую функцию, имеющую тот же знак на данном примером О.Д.З.

Ответ:

Пример 5.Если учесть терему 2, то каждый из сомножителей, учитывая (2), можно заменить на другую функцию, имеющую

Слайд 13Метод замены приращения функции приращением аргумента с учетом теоремы 2, оказывается

очень удобным при решении типовых задач № 15 ЕГЭ.

Пример 6.

Ответ:

Метод замены приращения функции приращением аргумента с учетом теоремы 2, оказывается очень удобным при решении типовых задач

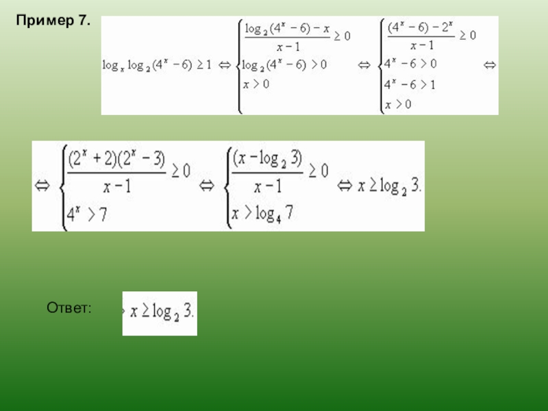
Слайд 14Пример 7.
Ответ:

Пример 7.Ответ:

Слайд 15В используемых нами теоремах нет ограничении на классы функций.
Рассмотренные теоремы

были применены к решению логарифмических неравенств. Несколько следующих примеров продемонстрируют перспективность метода при решении других видов неравенств.

Пример 8.

Ответ:

В используемых нами теоремах нет ограничении на классы функций. Рассмотренные теоремы были применены к решению логарифмических неравенств.

Слайд 16Пример 9.
Ответ:

Пример 9.Ответ:

Слайд 17Задачи для самостоятельного решения.
1
Ответ: 
2. 
Ответ:
3. 
Ответ:

Задачи для самостоятельного решения.1Ответ: 2. Ответ:3. Ответ:

Слайд 18В презентации использовались ресурсы:
1. Корянов А.Г., Прокофьев А.А. Интернет – ресурс:

http://alexlarin.net/ege/2011/C3-2011.pdf

2. ЕГЭ-2013: Математика: самое полное издание типовых вариантов / авт.-сост. И.В. Ященко, И.Р. Высоцкий; под ред. А.Л. Семенова, И.В. Ященко. – М.: АСТ: Астрель, 2013. -123 с. – (Федеральный институт педагогических измерений).

3. Экзаменационные задания: http://alexlarin.net/

В презентации использовались ресурсы:1. Корянов А.Г., Прокофьев А.А. Интернет – ресурс: http://alexlarin.net/ege/2011/C3-2011.pdf2. ЕГЭ-2013: Математика: самое полное издание

Слайд 19Спасибо за внимание!

Спасибо за внимание!

Что такое shareslide.ru?

Это сайт презентаций, где можно хранить и обмениваться своими презентациями, докладами, проектами, шаблонами в формате PowerPoint с другими пользователями. Мы помогаем школьникам, студентам, учителям, преподавателям хранить и обмениваться учебными материалами.


Для правообладателей

Яндекс.Метрика

Обратная связь

Email: Нажмите что бы посмотреть