Презентация, доклад на тему Кыскаша кобейту формуласы 7 класс

САБАҚТЫҢ МАҚСАТЫ: Қысқаша көбейту формулалары бойынша білімдерін тексеру. Ойлау қаблетін дамыту . Тақырып бойынша есеп шығару дағдыларын қалыптастыруОқушылардың шығармашылық ойлау қаблеттерін арттыру.

Слайд 1 «Қысқаша көбейту формулалары»
(білімді тиянақтау )

«Қысқаша көбейту формулалары»(білімді тиянақтау )

Слайд 2САБАҚТЫҢ МАҚСАТЫ:
Қысқаша көбейту формулалары бойынша білімдерін тексеру. Ойлау

қаблетін дамыту .
Тақырып бойынша есеп шығару дағдыларын қалыптастыру
Оқушылардың шығармашылық ойлау қаблеттерін арттыру.
САБАҚТЫҢ МАҚСАТЫ:    Қысқаша көбейту формулалары бойынша білімдерін тексеру. Ойлау қаблетін дамыту . Тақырып бойынша

Слайд 3САБАҚ ЖОСПАРЫ:
Сабаққа дайындық(формулаларды, ережелерді еске түсіру);
Ауызша есеп;
Математикалық диктант;
Қатені тексер;
Әр түрлі тапсырмалар

орындау;
Өзіңдік жұмыс(өзара тексеру);
Сөз жұмбақ шешу .

САБАҚ ЖОСПАРЫ:Сабаққа дайындық(формулаларды, ережелерді еске түсіру);Ауызша есеп;Математикалық диктант;Қатені тексер;Әр түрлі тапсырмалар орындау;Өзіңдік жұмыс(өзара тексеру);Сөз жұмбақ шешу .

Слайд 4САБАҚҚА ДАЙЫНДЫҚ!
Адасқан
формулалар

САБАҚҚА ДАЙЫНДЫҚ! Адасқан формулалар

Слайд 5ҚЫСҚАША КӨБЕЙТУ ФОРМУЛАЛАРЫ









ҚЫСҚАША КӨБЕЙТУ ФОРМУЛАЛАРЫ

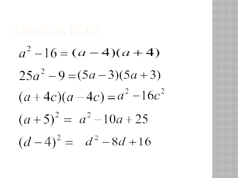
Слайд 6АУЫЗША ЕСЕП

АУЫЗША ЕСЕП

Слайд 7МАТЕМАТИКАЛЫҚ ДИКТАНТ
1) а және 7 санының қосындысының квадраты;
2) 4 және 7

санының айырмасы мен қосындысының көбейтіндісі;
3)в және 5а өрнектерінің айырмасының квадраты;
4) 2х және 1 өрнектерінің айырмасы мен қосындысының көбейтіндісі.

МАТЕМАТИКАЛЫҚ ДИКТАНТ1) а және 7 санының қосындысының квадраты;2) 4 және 7 санының айырмасы мен қосындысының көбейтіндісі;3)в және

Слайд 8МАТЕМАТИКАЛЫҚ ДИКТАНТ

МАТЕМАТИКАЛЫҚ ДИКТАНТ

Слайд 9«Сәйкесін тап» !
16-4х2   
       
(3a-5b)2   
       
(2a+3b)2  

(a-2b) 3   
               
х3-216с3  
     
a3 +1  
 
(x-6c) (x2+6xc+36c2)

а3-6а2 b+12ав2 -8в3

(4-2x) (4+2x)

4а2+12аb+9


(a+1) (a2_a+1)

9a 2 - 30аb+25b 2
«Сәйкесін тап» ! 16-4х2          (3a-5b)2          (2a+3b)2  (a-2b) 3                   х3-216с3       a3 +1   (x-6c) (x2+6xc+36c2)а3-6а2 b+12ав2 -8в3(4-2x) (4+2x)4а2+12аb+9

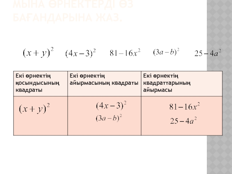
Слайд 10МЫНА ӨРНЕКТЕРДІ ӨЗ БАҒАНДАРЫНА ЖАЗ.

МЫНА ӨРНЕКТЕРДІ ӨЗ БАҒАНДАРЫНА ЖАЗ.

Слайд 11КЕСТЕНІ ТОЛТЫР :

КЕСТЕНІ ТОЛТЫР :

Слайд 12“?” БЕЛГІСІНІҢ ОРНЫНА ҚАНДАЙ ӨРНЕК ЖАЗУ КЕРЕК?

“?” БЕЛГІСІНІҢ ОРНЫНА ҚАНДАЙ ӨРНЕК ЖАЗУ КЕРЕК?

Слайд 14ҮЙ ТАПСЫРМАСЫ:
Қысқаша көбейту формулаларын жаттау.
№35.11

ҮЙ ТАПСЫРМАСЫ: Қысқаша көбейту формулаларын жаттау.№35.11

Что такое shareslide.ru?

Это сайт презентаций, где можно хранить и обмениваться своими презентациями, докладами, проектами, шаблонами в формате PowerPoint с другими пользователями. Мы помогаем школьникам, студентам, учителям, преподавателям хранить и обмениваться учебными материалами.


Для правообладателей

Яндекс.Метрика

Обратная связь

Email: Нажмите что бы посмотреть