Презентация, доклад на тему Квадраттық функция 8-класс

Содержание

Сабақтың түрі:“Қорытынды сабақ”Сабақтың ұраны: “Ойлан,ізден, шарықта”

Слайд 1Квадраттық
Функция және
оның графигі
Өткізген: Рамазанова Жанар Қуанышқалиқызы

Квадраттық Функция және оның графигіӨткізген: Рамазанова Жанар Қуанышқалиқызы

Слайд 2Сабақтың түрі:
“Қорытынды сабақ”

Сабақтың ұраны:
“Ойлан,ізден, шарықта”

Сабақтың түрі:“Қорытынды сабақ”Сабақтың ұраны: “Ойлан,ізден, шарықта”

Слайд 3Квадраттық функция және жалпы функция туралы білімдерін пысықтау, теориялық білімдерін шыңдау

және есептер шығаруда іскерлікпен қолдана білуге үйрету. Оқушылардың ойлау қабілеттерін арттыру, шапшаң, тез есептеуге үйрету

Сабақтың мақсаты

Квадраттық функция және жалпы функция туралы білімдерін пысықтау, теориялық білімдерін шыңдау және есептер шығаруда іскерлікпен қолдана білуге

Слайд 5Үй жұмысын тексеру:
№265

Үй жұмысын тексеру:№265

Слайд 6Қайталау сұрақтары

Қайталау сұрақтары

Слайд 7Квадраттық функцияның графигі қандай қисық?
парабола

Квадраттық функцияның графигі қандай қисық? парабола

Слайд 8а>0 болғанда, парабола тармақтары қалай бағытталады?
жоғары

а>0 болғанда, парабола тармақтары қалай бағытталады? жоғары

Слайд 10D>0 болғанда, параболаның абсцисса осімен орналасуы туралы не айтуға болады?

D>0 болғанда, параболаның абсцисса осімен орналасуы туралы не айтуға болады?

Слайд 11
D>0 болғанда, парабола
абсцисса осімен
екі нүктеде қиылысады

D>0 болғанда, парабола абсцисса осімен екі нүктеде қиылысады

Слайд 12D=0 болғанда, параболаның абсцисса осімен орналасуы туралы не айтуға болады?

D=0 болғанда, параболаның абсцисса осімен орналасуы туралы не айтуға болады?

Слайд 13D=0 болғанда, парабола абсцисса осімен бір нүктеде қиылысады

D=0 болғанда, парабола абсцисса осімен бір нүктеде қиылысады

Слайд 14Анықтама: у=ах² +bх+с түріндегі функцияны квадраттық функция деп атайды Мұндағы a, b,

c – нақты сандар және а≠0, х – тәуелсіз айнымалы. Квадраттық функцияның анықталу облысы барлық нақты сандар жиыны.
Анықтама: у=ах² +bх+с түріндегі функцияны квадраттық функция деп атайды Мұндағы a, b, c – нақты сандар және

Слайд 15Квадраттық функция
Квадраттық

теңдеу

Венн диаграммасы

Ұқсастықтары

Квадраттық функция       Квадраттық      теңдеуВенн диаграммасыҰқсастықтары

Слайд 16“Ой шақыру”
(Тарихи мағлұмат)

“Ой шақыру” (Тарихи мағлұмат)

Слайд 17 1. Функция –математикалық маңызды ұғымдардың бірі. «Функция » - латын

тілінен аударғанда «орындау, іске асыру» деген мағынаны білдіреді. «Функция» терминін 1692 жылы неміс математигі Готфрид Лейбниц еңгізді. Ол функцияны графикпен байланыстырды.

1. Функция –математикалық маңызды ұғымдардың бірі. «Функция » - латын тілінен аударғанда «орындау, іске асыру» деген

Слайд 18 2. «График» - грек сөзі, ол қазақша «сызылған» деген мағынаны

білдіреді.
3. «Парабола» -грек тілінен аударғанда «қосымша» деген мағынаны білдіреді. «Парабола» ғылыми атауын б.з.д 200 жылдары Пергтік Апполлоний еңгізген.


2. «График» - грек сөзі, ол қазақша «сызылған» деген мағынаны білдіреді.3. «Парабола» -грек тілінен аударғанда «қосымша»

Слайд 19


Функцияның ғылыми атауы 1692 жылы неміс математигі Готфрид Лейбництің
(1646 -

1716) еңбектерінде аталған. 1718 жылы швейцар математигі Иоганн Бернулли (1667 - 1748) «Функция - айнымалылар мен тұрақтылардан құрылған шама»- деп тұжырымдаған







Функцияның ғылыми атауы 1692 жылы неміс математигі Готфрид Лейбництің (1646 - 1716) еңбектерінде аталған. 1718 жылы швейцар

Слайд 20«Инсерт» әдісі

«Инсерт» әдісі

Слайд 21 Берілген функцияларға мән беріп график сызу

1) у=5х2-6

4) у=4х2
2) у=7х-1 5) у=x3+x+1
3) у=-3х2+х+7 6) у=9х2+4х
Берілген функцияларға мән беріп график сызу   1) у=5х2-6

Слайд 22Оқулықпен жұмыс

Оқулықпен жұмыс

Слайд 23Оқулықпен жұмыс

Оқулықпен жұмыс

Слайд 24«Өз біліміңді сына»
(ассоциациасын құру)

«Өз біліміңді сына»(ассоциациасын құру)

Слайд 25Квадраттық теңдеу

Квадраттық теңдеу

Слайд 26Тест тапсырмасы

Тест тапсырмасы

Слайд 27«Батерфлай» әдісі

«Батерфлай» әдісі

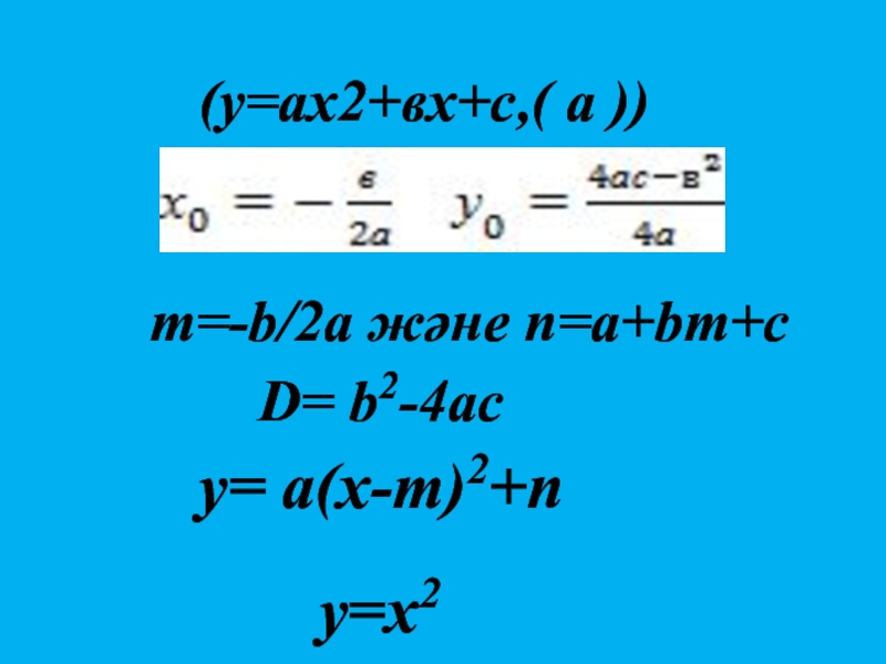
Слайд 28(у=ах2+вх+с,( а ))
m=-b/2a және n=a+bm+c
D= b2-4ac
y= a(x-m)2+n
y=x2

(у=ах2+вх+с,( а ))  m=-b/2a және n=a+bm+cD= b2-4acy= a(x-m)2+ny=x2

Слайд 30Үйге тапсырма: №262 Функцияның графигін салыңыз

Үйге тапсырма: №262   Функцияның графигін салыңыз

Слайд 31Назарларыңызға рахмет!!!
Сау болыңыздар!!!

Назарларыңызға рахмет!!!Сау болыңыздар!!!

Что такое shareslide.ru?

Это сайт презентаций, где можно хранить и обмениваться своими презентациями, докладами, проектами, шаблонами в формате PowerPoint с другими пользователями. Мы помогаем школьникам, студентам, учителям, преподавателям хранить и обмениваться учебными материалами.


Для правообладателей

Яндекс.Метрика

Обратная связь

Email: Нажмите что бы посмотреть