Презентация, доклад на тему Формула корней квадратных уравнений

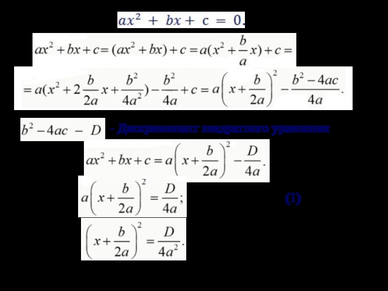
- Дискриминант квадратного уравнения(1)

Слайд 1Формула корней квадратных уравнений
Выполнила: Сайфутдинова Р.В.

студентка 42гр.
Формула корней квадратных уравненийВыполнила: Сайфутдинова Р.В.           студентка

Слайд 2

- Дискриминант квадратного уравнения
(1)

- Дискриминант квадратного уравнения(1)

Слайд 4Замечание 1.

Замечание 1.

Слайд 7Спасибо за внимание!

Спасибо за внимание!

Что такое shareslide.ru?

Это сайт презентаций, где можно хранить и обмениваться своими презентациями, докладами, проектами, шаблонами в формате PowerPoint с другими пользователями. Мы помогаем школьникам, студентам, учителям, преподавателям хранить и обмениваться учебными материалами.


Для правообладателей

Яндекс.Метрика

Обратная связь

Email: Нажмите что бы посмотреть