Презентация, доклад на тему Социальная компетентность. Развитие координационных способностей в применении подготовительных упражнений и самооценка(волейбол) .

Люди вместе могут совершить то,  чего не в силах сделать в одиночку. Джин Уэбстер Учитывая цели физической культуры ( и главную – развитие и совершенствование своих физических навыков с

Слайд 1МБОУ «СОШ№2 имени С. И. Подгайнова г. Калининска Саратовской области»
2014год.







Мастер-класс

Социальная компетентность. Развитие координационных способностей в применении подготовительных упражнений и самооценка(волейбол) .
МБОУ «СОШ№2 имени С. И. Подгайнова г. Калининска Саратовской области»2014год.Мастер-класс

Слайд 2Люди вместе могут совершить то,  чего не в силах сделать в одиночку.

Джин Уэбстер

Учитывая цели физической культуры ( и главную – развитие и совершенствование своих физических навыков с учетом индивидуальных возможностей обучающихся , повышение положительной мотивации ) учителя стараются достичь лучших результатов при помощи различных средств , методов , приемов.
На своих занятиях я часто использую всевозможные подготовительные упражнения , которые повышают качество и эффективность выполнения основных сложнокоординационных элементов и навыков.
А сочетая вариативность подводящих упражнений , новизну, игровой момент и самоанализ качество обучения возрастает


Люди вместе могут совершить то,  чего не в силах сделать в одиночку.

Слайд 3 Единение умов и рук, сосредоточение их сил может стать почти всемогущим.

Джин Уэбстер

Проблема :
Мы хотим с помощью подготовительных упражнений развить свои координационные способности
Мы можем активно работать в группах , в парах и индивидуально
Мы будем адекватно , самостоятельно себя оценивать и помогать друг другу

Единение умов и рук, сосредоточение их сил может стать почти всемогущим.

Слайд 4Размещение станций-упражнений по площадке

Размещение станций-упражнений по площадке

Слайд 7Итогом нашей совместной деятельности можно считать следующие показатели:
Успешность выполнения заданий Повышение координации

и развитие быстроты реакции Взаимопонимание и взаимоконтроль на занятии Положительный эффект игрового момента Развитие физического, интеллектуального и психологического уровня Компетентность на данном этапе обучения
Итогом нашей совместной деятельности можно считать следующие показатели:   Успешность выполнения заданий Повышение координации и развитие

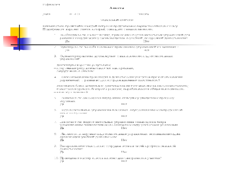
Слайд 8Рефлексия
АНКЕТИРОВАНИЕ УЧАСТНИКОВ МАСТЕР-КЛАССА

Уважаемые коллеги! 
Внимательно прочитайте каждый вопрос и предлагаемые варианты ответов

к нему. Подчеркните вариант ответа, который совпадает с вашим мнением.

РефлексияАНКЕТИРОВАНИЕ УЧАСТНИКОВ МАСТЕР-КЛАССАУважаемые коллеги! Внимательно прочитайте каждый вопрос и предлагаемые варианты ответов к нему. Подчеркните вариант ответа, который

Что такое shareslide.ru?

Это сайт презентаций, где можно хранить и обмениваться своими презентациями, докладами, проектами, шаблонами в формате PowerPoint с другими пользователями. Мы помогаем школьникам, студентам, учителям, преподавателям хранить и обмениваться учебными материалами.


Для правообладателей

Яндекс.Метрика

Обратная связь

Email: Нажмите что бы посмотреть