Презентация, доклад на тему Свойства степени с натуральным показателем

1.Организационный момент -1 мин.2.Теоретический опрос - 3 мин.3. Разминка - 5 мин. 4. Математический диктант - 6 мин.

Слайд 1Урок по алгебре в 7классе
Тема: «Свойства степени с натуральным показателем»
Цель:

Продолжить формирование начальных умений в применении свойств степени с натуральным показателем для преобразования числовых и алгебраических выражений.


Урок по алгебре в 7классеТема: «Свойства степени с натуральным показателем» Цель: Продолжить формирование начальных умений в применении

Слайд 21.Организационный момент -1 мин.
2.Теоретический опрос - 3

мин.
3. Разминка - 5 мин.
4. Математический диктант - 6 мин.
5. Решение задач -14мин.
6. Физкультминутка - 1 мин
7. Историческая страничка - 2 мин.
8. Самостоятельная работа -12мин.
9. Итог. Домашнее задание -1 мин.

План урока

1.Организационный момент -1 мин.2.Теоретический опрос     - 3 мин.3. Разминка

Слайд 3Теоретический опрос.
Сформулируйте определение степени с натуральным показателем n, большим 1.



2.Сформулируйте определение степени с показателем 1.


3.Сформулируйте правило умножения степеней с одинаковыми основаниями.


4.Сформулируйте правило деления степеней с одинаковыми основаниями.


5.Сформулируйте правило возведения степени в степень.


6.Сформулируйте правило возведения в степень произведения


7.Сформулируйте правило возведения в степень дроби

b≠0.

Теоретический опрос.Сформулируйте определение степени с натуральным показателем n, большим 1.

Слайд 4Разминка
1. Представьте произведение в виде степени:








2. Выполните деление степеней:








3. Найдите значение выражения:






4. Закончите запись:






5. Возведите произведение в степень:








6. Представьте в виде степени произведение:




































Разминка1. Представьте произведение в виде степени:     2. Выполните деление степеней:

Слайд 57. Выполните возведение в степень:








8. Упростите выражение:








9. Какое выражение надо подставить вместо (*), чтобы получить равенство:








10. При каком значении n верно равенство:










7. Выполните возведение в степень:    8. Упростите выражение:    9. Какое выражение

Слайд 6Математический диктант
Вариант I.
Закончите запись:

Ответы:
1)


2)



3)


4)


5)


6)


7)


8)


9)


10)



Математический диктантВариант I.Закончите запись:

Слайд 7Математический диктант
Вариант II.
Закончите запись:

Ответы:
1)


2)


3)


4)


5)


6)


7)



8)


9)


10)


Математический диктантВариант II.Закончите запись:

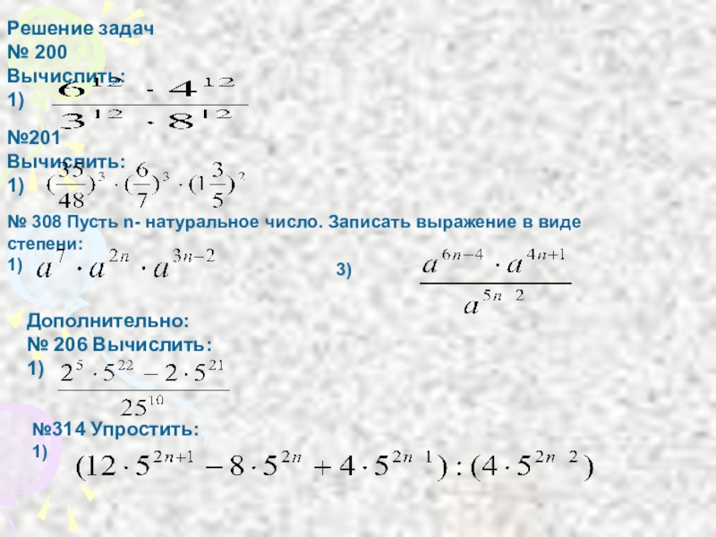
Слайд 8Решение задач
№ 200 Вычислить:
1)
№201 Вычислить:
1)
№ 308 Пусть n- натуральное

число. Записать выражение в виде степени:
1)


3)

Дополнительно:
№ 206 Вычислить:
1)

№314 Упростить:
1)


Решение задач№ 200 Вычислить:1) №201 Вычислить:1) № 308 Пусть n- натуральное число. Записать выражение в виде степени:1)

Слайд 9Второй способ решения №200(1):

Второй способ решения №200(1):

Слайд 10Минутка отдыха. Гимнастика для глаз. Вертикальные движения глаз вверх- вниз.
Горизонтальное вправо

– влево.
Вращение глазами по часовой стрелке и против.
Закрыть глаза и представить по очереди цвета радуги как можно отчётливее.
Глазами «нарисовать» кривую, изображённую на доске несколько раз, сначала в одном, а затем в другом направлении.
Минутка отдыха. Гимнастика для глаз. Вертикальные движения глаз вверх- вниз.Горизонтальное вправо – влево.Вращение глазами по часовой стрелке

Слайд 11Историческая страничка
Первыми в списке арифметических действий идут сложение, вычитание, умножение и

деление. Возведение в степень иногда называют пятой операцией.
Представление о возведении в степень как о самостоятельной операции у математиков сложилось не сразу, хотя задачи на вычисление степеней встречаются в самых древних математических текстах(«Древний Египет», «Междуречье»).
Своеобразно описывает первые натуральные степени чисел Диофант Александрийский в своей знаменитой «Арифметике».
Квадраты получаются от «умножения некоторого числа на себя; кубы получаются от умножения квадратов на их сторону; квадрато – квадраты – от умножения квадратов самих на себя; квадрато-кубы- от умножения квадрата на куб его стороны; кубо-кубы-от умножения кубов на себя».
Одним из первых, кто в конце 16- начале 17в. предпринял шаги к построению современной теории степеней, был нидерландский математик Симон Стевин. Он обозначал неизвестную величину кружком


Историческая страничкаПервыми в списке арифметических действий идут сложение, вычитание, умножение и деление. Возведение в степень иногда называют

Слайд 12А внутри его указывал показатели степени.



Его записи обозначали
Стевин отверг

Диофановы составные выражения «квадрато-квадрат», «квадрато-куб» и предложил называть степени по их показателям- 4-й, 5-й и т.д. Современное обозначение степеней ввел французский математик Рене Декарт( в17 веке)

1

2

3



А внутри его указывал показатели степени. Его записи обозначали Стевин отверг Диофановы составные выражения «квадрато-квадрат», «квадрато-куб» и

Слайд 13Самостоятельная работа.
Вариант1.
1. Представить выражение в виде степени:
а)
б)
в)


г)

д)

е)

2. Найти значение выражения

при а) b=-7; б) b=

3* Упростите:

Вариант2.
1. Представить выражение в виде степени:
а)

в)


д)

е)

2. Найти значение выражения

при а)

б)

3* Упростите:

б)

г)

Самостоятельная работа.Вариант1.1. Представить выражение в виде степени:а) б) в) г) д) е) 2. Найти значение выражения при

Слайд 14Ответы:




















Ответы:

Слайд 15 Домашнее задание
П.10, №200, 201,308(2;4)
Дополнительно №205.
Итог урока
М.В. Ломоносов: «Математику уже затем

любить надо, что она ум в порядок приводит»

Домашнее заданиеП.10, №200, 201,308(2;4)Дополнительно №205.Итог урокаМ.В. Ломоносов: «Математику уже затем любить надо, что

Что такое shareslide.ru?

Это сайт презентаций, где можно хранить и обмениваться своими презентациями, докладами, проектами, шаблонами в формате PowerPoint с другими пользователями. Мы помогаем школьникам, студентам, учителям, преподавателям хранить и обмениваться учебными материалами.


Для правообладателей

Яндекс.Метрика

Обратная связь

Email: Нажмите что бы посмотреть