Презентация, доклад по математике по теме Модуль

Содержание

Введение Работа «модуль» предназначена для повышения эффективности подготовки учащихся 10-11 классов к итоговой аттестации (ЕГЭ) по алгебре и началам анализа за курс полной средней школы и предусматривает их подготовку к дальнейшему математическому образованию.

Слайд 1Модуль

Модуль

Слайд 2Введение
Работа «модуль» предназначена для повышения эффективности подготовки учащихся

10-11 классов к итоговой аттестации (ЕГЭ) по алгебре и началам анализа за курс полной средней школы и предусматривает их подготовку к дальнейшему математическому образованию.
Результаты ЕГЭ показывают, что у большинства выпускников школ
по теме «Модуль» пробелы в знаниях. У этого явления вполне объяснимые причины, главные из которых:
понятие модуля изучается в 6 классе, причем вводится только через координатную прямую;
определение модуля не отрабатывается на конкретных заданиях на протяжении курса математики и алгебры 6 – 8 классов, встречается только в теме «Арифметический корень» (8класс).
Задачи на применения определения модуля встречаются во многих темах , поэтому не воспринимается учащимися, как отдельная математическая модель.
Введение   Работа «модуль» предназначена для повышения эффективности подготовки учащихся 10-11 классов к итоговой аттестации (ЕГЭ)

Слайд 3Цель работы:
На основе коррекции базовых математических знаний учащихся за

курс 6 – 11 классов совершенствовать математическую культуру и творческие способности учащихся.



Цель работы:  На основе коррекции базовых математических знаний учащихся за курс 6 – 11 классов совершенствовать

Слайд 4З а д а ч и
Акцентировать внимание учащихся на единых требованиях

к правилам оформления различных видов заданий с модулем, включаемых в ЕГЭ.
Научить наглядно представлять процессы, происходящие в заданиях.
Экономить учебное время на оформлении условия и записи пояснений к решению.
Без затруднения применять определение модуля действительного числа.
Уметь пользоваться свойствами модульных неравенств и применять нужное свойство к конкретному условию.
З а д а ч иАкцентировать внимание учащихся на единых требованиях к правилам оформления различных видов заданий

Слайд 5Определение модуля.
Свойства модульных
неравенств

Определение модуля.Свойства модульныхнеравенств

Слайд 61. Модулем (абсолютной величиной) действительного числа α называется само это число,

если α≥0, и противоположное число – α, если α<0. Модуль α обозначается |α|. Итак,
α, если α≥0,
|α| =
(-1)∙α, если α<0.
2. Геометрически |α| означает расстояние на координатной прямой от точки, изображающей число α, до начала отсчета.
3. Модуль нуля равен нулю.
4. Если α≠0, то на координатной прямой существуют две точки α и -α, равноудаленные от нуля, модули которых равны.


-α 0 α

1. Модулем (абсолютной величиной) действительного числа α называется само это число, если α≥0, и противоположное число –

Слайд 7Свойства модульных неравенств

α < β
|. |α|< β ;
α > -β

α > β
||. |α|>β ;
α < -β

β > 0 β > 0
|||. |α|< β или ;
< (α-β)(α+β) < 0


Свойства модульных неравенств

Слайд 8

β≥0 β≥0
> (α-β)(α+β)>0
IV. |α|>β β<0 или β<0 ;
α α


V. |α|>|β| > ;

VI. |α|>|β| < .


β≥0

Слайд 9Применение определения модуля и свойств модульных неравенств при решении задач







Применение определения модуля и свойств модульных неравенств при решении задач

Слайд 10Иррациональные выражения с модулем
1

при
2. при х=
3. при
4. при
5. при
6. при
7. при
8. при
Иррациональные выражения с модулем  1

Слайд 11Функции с модулем
Найдите сумму всех целых чисел, входящих в

область определения функции:



Построить график функции:
Функции с модулем  Найдите сумму всех целых чисел, входящих в область определения функции:

Слайд 12Практикум по решению модульных неравенств


1. 8.
2. 9.
3. 10.
4. 11.
5. 12.
6. 13.
7.

Практикум по решению модульных неравенств

Слайд 13Решение иррациональных выражений с модулем
Пример 1:
Представим подкоренное выражение

в виде полного квадрата. В данном случае это возможно:
в условии выражения можно преобразовать следующим образом:
Учитывая, что
и потому получаем:

Ответ: 4.
Решение иррациональных выражений с модулемПример 1:   Представим подкоренное выражение в виде полного квадрата. В данном

Слайд 14Решение иррациональных выражений с модулем
Пример 2
Преобразуем подкоренные выражения:


Решение иррациональных выражений с модулемПример 2Преобразуем подкоренные выражения:

Слайд 15Решение иррациональных выражений с модулем
Пример 3:
Представим выражение в

виде,
или
Выражение, стоящее под первым знаком, больше 0 при всех допустимых . При значение больше 4, поэтому . Значит и второй знак модуля можно опустить.
Получим: при
Ответ: 4

Решение иррациональных выражений с модулемПример 3:   Представим выражение в виде,

Слайд 16Решение иррациональных уравнений с модулями
Пример 4:
Представим выражение в виде:


Решение иррациональных уравнений с модулямиПример 4:Представим выражение в виде:

Слайд 17Функции с модулем
Пример 1.
Решение:

; ;
Функции с модулемПример 1.Решение:

Слайд 18Функции с модулем
Пример 2

Решение:
Преобразуем неравенство и применим свойство:

Функции с модулемПример 2Решение:Преобразуем неравенство и применим свойство:

Слайд 19Функции с модулем
Пример 3

Решение:
Преобразуем неравенство и применим свойство:







Функции с модулемПример 3Решение:Преобразуем неравенство и применим свойство:

Слайд 20Построение графиков функции
Пример 1. Построить график функции


Решение. Перепишем функцию в

таком виде:
, так как .











Если , то функция примет вид:
Если , то функция примет вид:
Построение графиков функцииПример 1. Построить график функции Решение. Перепишем функцию в таком виде:

Слайд 21Если , то

функция примет вид:
Если , то функция примет вид:
На каждом интервале функция является линейной, график строим по двум точкам.

Если         , то функция примет вид:Если

Слайд 22Построение графиков функций
Пример 2. Построить график функции

Решение:
Функция определена

на всей числовой прямой. Графиком является ломаная линия с вершинами в точках, абсциссы которых х = 0, х = 1, а ординаты у(0) = 1, у(1) = 2. Возьмем еще две дополнительные точки
(-1;2), (2;5). Далее строим график функции.
Построение графиков функцийПример 2. Построить график функцииРешение:   Функция определена на всей числовой прямой. Графиком является

Слайд 23Решение практикума модульных неравенств
Рассмотрим на примерах, как используются свойства:
1


2






Решение практикума модульных неравенствРассмотрим на примерах, как используются свойства:12

Слайд 24Решение практикума модульных неравенств
Рассмотрим на примерах, как используются свойства:
3
Вначале используем

I свойство


а затем I и II свойства






Решение практикума модульных неравенствРассмотрим на примерах, как используются свойства:3 Вначале используем I свойствоа затем I и II

Слайд 25Решение практикума модульных неравенств
Рассмотрим на примерах, как используются свойства:
3

-7 -1
X

-5 -3
X


-7 -5 -3 -1
X















Решение практикума модульных неравенствРассмотрим на примерах, как используются свойства:3

Слайд 26Решение практикума модульных неравенств
Рассмотрим на примерах, как используются свойства:
4

Сначала используем

II свойство



Используем свойства I и II

















Решение практикума модульных неравенствРассмотрим на примерах, как используются свойства:4 Сначала используем II свойствоИспользуем свойства I и II

Слайд 27Решение практикума модульных неравенств
4

















Решение практикума модульных неравенств4

Слайд 28Решение практикума модульных неравенств
Рассмотрим на примерах, как используются свойства:
5





















Решение практикума модульных неравенствРассмотрим на примерах, как используются свойства:5

Слайд 29Решение практикума модульных неравенств

5



1 2


2 3





1 2 3














Решение практикума модульных неравенств5

Слайд 30Решение практикума модульных неравенств
Рассмотрим на примерах, как используются свойства:
6

























Решение практикума модульных неравенствРассмотрим на примерах, как используются свойства:6

Слайд 31Решение практикума модульных неравенств
Рассмотрим на примерах, как используются свойства:
6 неравенство можно

решить иначе.
так как обе части неравенства неотрицательны, можно возвести их в квадрат, не нарушая равносильности.


























Решение практикума модульных неравенствРассмотрим на примерах, как используются свойства:6 неравенство можно решить иначе.

Слайд 32Решение практикума модульных неравенств
7.





-10 -3


-3 -1,6

Ответ:
Решение практикума модульных неравенств7.

Слайд 33Решение практикума модульных неравенств
8.







Ответ:
Решение практикума модульных неравенств8.

Слайд 34Решение практикума модульных неравенств
9.
По определению:

сократим на
Решение практикума модульных неравенств9.По определению:

Слайд 36Решение практикума модульных неравенств

Решение практикума модульных неравенств

Слайд 37Б)второй способ решения – используем I свойство модульных неравенств

Б)второй способ решения – используем I свойство модульных неравенств

Слайд 38Б)второй способ решения – используем I свойство модульных неравенств

Б)второй способ решения – используем I свойство модульных неравенств

Слайд 39Решение практикума модульных неравенств
1 1.а)



Так как ; получаем





Решение практикума модульных неравенств1 1.а)

Слайд 40Решение практикума модульных неравенств
11 а).



Решение практикума модульных неравенств11 а).

Слайд 41Решение практикума модульных неравенств

Решение практикума модульных неравенств

Слайд 42Решение практикума модульных неравенств
12.
Найдем корни модулей:




Для решения такого неравенства рассмотрим его

на каждом интервале отдельно. Корни модулей разбивают числовую ось на интервалы. Учитывая значения подмодульных выражений, раскроем значения модулей на каждом интервале.

А)






Решение практикума модульных неравенств12.Найдем корни модулей:Для решения такого неравенства рассмотрим его на каждом интервале отдельно. Корни модулей

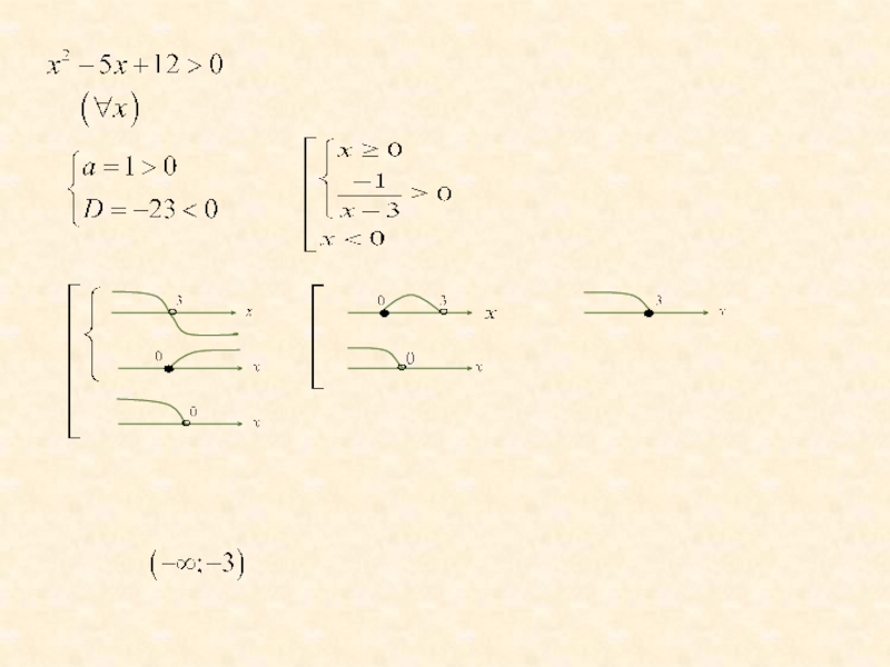
Слайд 43Решение практикума модульных неравенств
12.
Б)






Решение практикума модульных неравенств12.Б)

Слайд 44Решение практикума модульных неравенств
12.
В)





Ответ:

Решение практикума модульных неравенств12.В)Ответ:

Слайд 45Решение практикума модульных неравенств
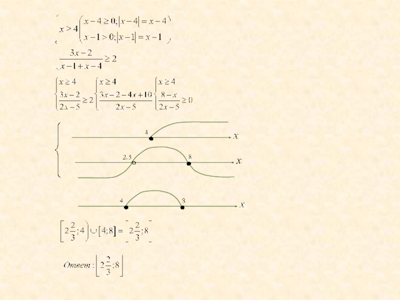
12 г)






Объединяя все решения, имеем

Решение практикума модульных неравенств12 г)Объединяя все решения, имеем

Слайд 46 Решение модульных неравенств

Решение модульных неравенств

Слайд 47Решение практикума модульных неравенств
13 б)

Решение практикума модульных неравенств13 б)

Слайд 49Литература:
1.

Литература:1.

Что такое shareslide.ru?

Это сайт презентаций, где можно хранить и обмениваться своими презентациями, докладами, проектами, шаблонами в формате PowerPoint с другими пользователями. Мы помогаем школьникам, студентам, учителям, преподавателям хранить и обмениваться учебными материалами.


Для правообладателей

Яндекс.Метрика

Обратная связь

Email: Нажмите что бы посмотреть