Презентация, доклад по математике к открытому уроку в 5 классе

Какая дробь лишняя?а) ; ; ; ; б) ; ; ; ;

Слайд 1Урок математики в 5 классе

Урок математики в 5 классе

Слайд 11Какая дробь лишняя?
а) ; ;

; ; б) ; ; ; ; в) ; ; ; ; г) ; ; ; ;
Какая дробь лишняя?а)    ;   ;   ;   ;

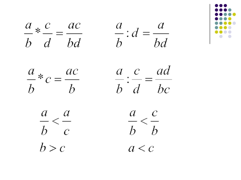
Слайд 12Действия с дробями

Действия с дробями

Слайд 141. Выделение целой части

1. Выделение целой части

Слайд 152. Сокращение дробей

2. Сокращение дробей

Слайд 163. Сложение

3. Сложение

Слайд 174. Вычитание

4. Вычитание

Слайд 185. Умножение

5. Умножение

Слайд 196. Деление

6. Деление

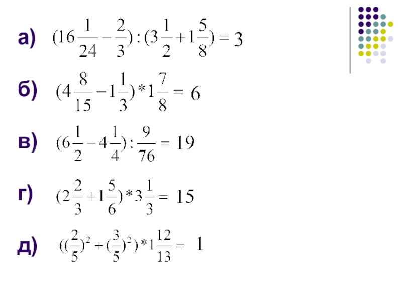
Слайд 20а) б) в) г) д)

а)   б)   в)   г)  д)

Что такое shareslide.ru?

Это сайт презентаций, где можно хранить и обмениваться своими презентациями, докладами, проектами, шаблонами в формате PowerPoint с другими пользователями. Мы помогаем школьникам, студентам, учителям, преподавателям хранить и обмениваться учебными материалами.


Для правообладателей

Яндекс.Метрика

Обратная связь

Email: Нажмите что бы посмотреть