Презентация, доклад по математике 6 класса по теме Сложение и вычитание дробей

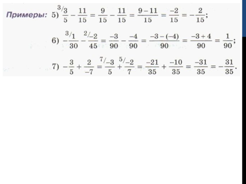
Что называют разностью двух дробей?

Слайд 1ВЫПОЛНИТЕ СЛОЖЕНИЕ И ВЫЧИТАНИЕ
а) 13 + (–2); б) –

4 + (–8); в) 5 + (–9);
г) –2 + (–5) д) – 5 + (– 5) е) –7 + 8.
а) 3 – (–2); б) – 4 – (–8); в) 5 – (–9);
г) –1 – (–5) д) – 1 – 4; е) 7 – 15 .
а) 4 + (–2); б) – 5 + (–3); в) –5 + (–9);
г) –11 –51 д) 2 – 5 е) – 2 – (–3); .

ВЫПОЛНИТЕ СЛОЖЕНИЕ И ВЫЧИТАНИЕа) 13 + (–2);   б) – 4 + (–8);

Слайд 4Что называют разностью двух дробей?

Что называют разностью двух дробей?

Слайд 9ФИЗКУЛЬМИНУТКА
Раз – подняться, подтянуться, Два – согнуться, разогнуться, Три – в ладоши

три хлопка, Головою три кивка. На четыре – руки шире. Пять – руками помахать, Шесть – за парты сесть опять.

ФИЗКУЛЬМИНУТКА Раз – подняться, подтянуться, Два – согнуться, разогнуться, Три – в ладоши три хлопка, Головою три

Слайд 12ОЦЕНИТЕ СВОЮ РАБОТУ
ничего не

понял

средне

отлично





ОЦЕНИТЕ СВОЮ РАБОТУ       ничего не понял

Что такое shareslide.ru?

Это сайт презентаций, где можно хранить и обмениваться своими презентациями, докладами, проектами, шаблонами в формате PowerPoint с другими пользователями. Мы помогаем школьникам, студентам, учителям, преподавателям хранить и обмениваться учебными материалами.


Для правообладателей

Яндекс.Метрика

Обратная связь

Email: Нажмите что бы посмотреть